精细化照护技术在极超低出生体重早产儿的应用研究
无锡市儿童医院
极客桥便携式系留无人机平台
极客桥(北京)科技创新有限公司
宠物主食的开发及产业化
江南大学
农用有机硅超级扩展剂SE-90
广东省科学院
摩擦副工作表面设计及制备技术
西安交通大学
新能源汽车专用电动压缩机研发
上海机电学院
一种基于机器视觉的颜色测量系统
上海出版印刷高等专科学校
水墨系统及包含其的印刷机
上海出版印刷高等专科学校
卫星星座覆盖分析与调度优化推演仿真平台
中国地质大学(武汉)
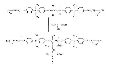
一种水性环氧丙烯酸酯接枝复合乳液及其制备方法
盛询科技集团
(E)-2-苯基-3-(3,5-二甲氧基-4-异丙基苯)丙烯酸的提纯方法
盛询科技集团
N,N-二(4-甲氧羰基-2,4-戊二烯酸甲酯-5-)氮烷的合成方法及其应用
盛询科技集团
新型药肥产品的研发与应用
广东省科学院
Pickering 乳化技术在化妆品中的应用
江南大学
一种无溶剂羟基丙烯酸树脂及其制备方法与应用
盛询科技集团
催化氢化脱除对硝基苄酯以制备7-ACCA的方法
盛询科技集团
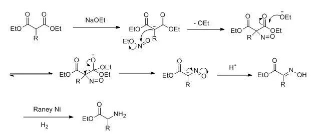
α-酮肟酸酯的制备方法
盛询科技集团
一种低温制备TiO2/gC3N4复合光催化剂的方法
盛询科技集团
一种氮氧自由基聚合物刷阻聚剂的制备方法及其应用
盛询科技集团
杏核挤压开口装置
盛询科技集团
共4040页 转到