回顾2024,原子核物理的前沿科技
发布时间: 2025-06-06
核科学的研究一直以来是物质科学的前沿。《科技导报》邀请中国科学院院士马余刚教授简要回顾了2024年原子核物理科技发展的前沿与热点,其中有涉及理论的拓展也有实验的突破,这些原子核物理学的发展不断地推动我们对物质基本构成和宇宙演化的深入理解。
在100多年以来的发展中,原子核物理迎来第二次量子革命。从极微观的量子新形态,到极宏观的核天体演化,再到核医疗、核聚变等重大应用,原子核物理不断地朝着极端条件发展。通过研究这些极端状态下的量子多体系统,可以让人们更加深入研究各种基本相互作用,以及量子多体关联。
2024年的核物理研究成果不仅加深了我们对物质基本构成的理解,还加速了多学科交叉合作的发展。随着大科学装置的持续升级与新技术的应用,核物理学将在未来为基础科学、能源开发、医学应用等领域做出更加深远的贡献。当前的进展为探索量子力学和相对论相互作用的深层次问题奠定了基础,预示着原子核物理在未来的无限可能。
1、放射性核束物理
在原子核素图中,当前大约有3000多种核素已经被发现,而理论预言所存在的核素大约10000种,这里面大量的未知领域将被新一代核科学装置所覆盖与研究,是未来几十年放射性核束物理的重点研究方向。
1.1 原子核壳层结构与幻数
约75年前,从玛丽亚·格佩特–梅耶(Maria Goeppert–Mayer)和汉斯·延森(Hans Jensen)提出原子核壳模型并获得诺贝尔物理学奖以来,壳层结构理论一直在原子核结构中起到重要作用。与之相关的,幻数是指核壳模型中,核子在这些能级上完全填满时,原子核的稳定性最强。而验证幻数是否在极端条件下仍然成立,或者是否有新幻数的出现,一直以来吸引了大量的理论与实验研究。
N=82是一个非常典型的中子幻数,中子数为82时,原子核的状态通常很稳定。2024年,中国科学院近代物理研究所的研究人员利用熔合蒸发反应首次鉴别了160Os和156W核,它们代表了迄今为止最富含质子的N=84和N=82核素。160Os的α衰变测量被确定为来自基态(图1),子核156W是β+发射体。根据新测量的数据,能够发现从N=84同中子素到Os(Z=76)的α约化衰变宽度随着质子数增加而减小。这被解释为质子滴线区N=82壳层加强的证据。

图1 160Os的衰变纲图
同时,中国的核物理工作者,使用位于于韦斯屈莱大学加速器实验室的同位素分离在线装置(IGISOL设施)与彭宁阱质谱仪对N=Z附近的基态95−97Ag核以及96Ag同核异能态进行了高精度质量测量,直接测得了95Ag的原子质量,并首次识别并测定了96Ag中由β衰变产生的2+和8+态的原子质量(图2)。基于新测得的质量,文章研究了中子幻数N=50的壳层间隙,结果表明,该间隙非常稳定。

图2 96Ag的部分能谱与理论结果
从新的基态质量数据中,提取了有效壳层间隙和对能,并将其与基于各种手征有效场论哈密顿量的先进第一性原理计算、密度泛函理论、组态相互作用壳模型的计算等结果进行了比较,结果发现,所有的理论方法,在再现跨越N=50中子壳隙并延伸至质子滴线的银同位素的基态性质方面,都面临着挑战。
1.2 超重核与核形变
对于超重原子核,理论上预言存在着新的幻数,在该幻数附近原子核可能相对稳定,形成稳定岛。稳定岛是周期表中的一个区域,预计位于尚未发现的120号元素周围,该区域的元素相较于其他超重元素具有更强的稳定性。朝着预言的“稳定岛”方向合成超重核(SHN)是当前核物理的研究热点(图3)。超重核的单粒子结构对于确定“稳定岛”的位置起着至关重要的作用。近年来,原子序数从Z=113到Z=118的超重核相继被发现。

图3 稳定岛示意
到目前为止合成的最重元素是通过用钙(48Ca)束流轰击高原子序数锕系靶来实现的。这种同位素非常适合这类实验,因为在它的核构型中,中子和质子的数量都是“幻数”。然而,这种方法无法产生超过Og(质子数Z=118)的元素。加利福尼亚州劳伦斯伯克利国家实验室(LBNL)的一个团队使用50Ca束合成了一种超重元素290Lv(Z=116)。该同位素的生成并不需要弹核是双幻数核的限制,这为合成超过118号元素开辟了新途径。
另一方面,新的核科学装置的运用也为这一目标的实现提供了重要帮助。密歇根州立大学稀有同位素束流设施(FRIB)的研究人员已经在重质量区合成5种前所未见的稀有同位素(图4),它们都包含高数量的中子。

图4 新发现的5种富中子同位素
但由于超重核的产生截面很小,到目前为止,人们只知道主要的衰变模式、寿命等基本性质,而无法在实验中直接获得超重核的单粒子结构。幸运的是,由于变形效应,在Z=100和N=152处变形壳层间隙附近的原子核中,决定“稳定岛”位置的单粒子轨道接近费米面。因此,对该区域原子核的光谱实验可以为超重核单粒子结构提供重要信息。
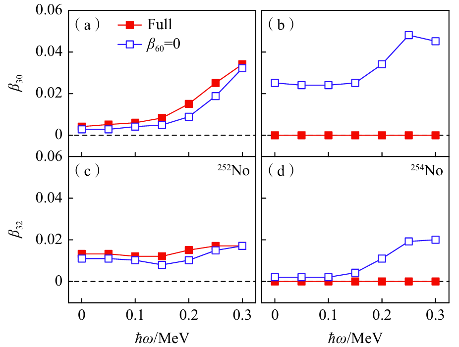
实验上,人们已经利用束流、同核异能素和衰变光谱测到了253Fm、251Md、252,254No、255Lr和254,256Rf等超重核的转动带。而理论上,通过在三维空间的协变密度泛函理论和壳模型方法,研究了全变形空间中超重核的旋转特性,以微观和自洽的方式处理了配对关联、变形和转动惯量。无需任何可调参数,即可很好地再现超镄核252,254No和254,256Rf中观测到的旋转带的运动学和动态转动惯量。该研究首次发现,八极变形的出现应该是252No和254No中观察到的显著不同转动行为的原因(图5)。该研究结果为长期存在的No同位素转动行为之谜提供了微观解决方案。

图5 计算的252,254No的八级形变与转动能谱
形状是原子核最基本的性质之一,原子核通常具有球形,但在非满壳层的原子核中或出现形变。绝大多数的形变核都是以轴对称的四极形变(椭球形)为主。而实验上,原子核手征带和摇摆带的分别发现,为原子核存在三轴形变提供了直接的实验证据。
山东大学、北京大学等的研究团队在7435Br39中发现了3个具有πg9/2⊗vg9/2组态的∆I=1带。通过对角分布、线性极化和寿命的测量,确定了跃迁的多极性、类型、混合比和绝对跃迁概率。通过将实验测量结果和手征带、摇摆带的实验判据以及量子化的粒子转子模型计算结果进行对比,第二条和第三条带被分别指定为晕带的手征伙伴带和一声子摇摆激发带(图6)。这是在核系统中第一次观测到2种三轴形变的直接实验证据在同一组态下的共存,表明原子核的手征对称几何可以鲁棒摇摆激发。

图6 原子核74Br39的能谱与跃迁性质
对于轻核区的原子核,这种形变对称性破缺则可能体现为集团结构并导致闯入态等奇特现象的出现。特别地,南方科技大学的课题组通过在10Be与氘核非弹性散射中,观测到了α衰变阈值附近的1−共振态,同时通过理论研究,发现该共振态伴随着增强的偶极跃迁强度。体现了阈值效应与集团结构对共振态的产生尤为重要。
另一方面,具有奇特结构的原子核,其激发态也可能伴随着各种集体运动模式,除了比较熟知的质子中子间相对运动形成的巨偶极共振,还有许多其他可能的模式,其中包括环形偶极共振(toroidal dipole mode,TDR)。环形偶极共振在50年前就已被预测,它涉及质子和中子沿着形成核内环形体的嵌套环路振荡(图7)。但这种共振至今尚未被明确检测到。

图7 环形偶极共振示意
德国达姆施塔特工业大学的研究人员使用密度泛函理论,发展出环形偶极共振的理论描述。并对电子、质子和伽马射线数据进行了预测,与镍–58核散射实验的结果相匹配。但在宣布确定找到TDR之前,仍需要测量更多的核,尤其是重核。
1.3 原子核衰变
位于极端失衡的原子核滴线区,各类奇异的衰变也容易发生。β缓发的中子发射(βn)被解释为发生在丰中子原子核中的连续衰变过程。目前,已建立的理论框架都是分2步计算β缓发的中子发射。首先,使用微观模型计算β衰变的强度分布。然后,用统计的Hauser–Feshbach理论和复合核的隐式假设,使用选定的光学势模型(OMP)计算来估计子核中高于阈值(Sn)的中子透射系数。直到最近,基于实验数据,潜在的复合核假设才再次受到质疑:似乎观察到的中间核激发态中子发射与母核衰变中的状态有关。
中国学者基于欧洲核子中心(CERN)的同位素质量分离器(ISOLDE)衰变实验终端,研究了51,52,53K的衰变(图8),旨在理解β缓发的中子发射机制。研究指出,观测到的非统计中子发射是通过与具有高中子发射概率的近门态耦合进行的。“复合核”衰变的出现是更高能量处的多重态小贡献的累计导致的。

图8 原子核53K有关β缓发中子发射的单粒子能级示意(a)与Iβn能量分布(b)
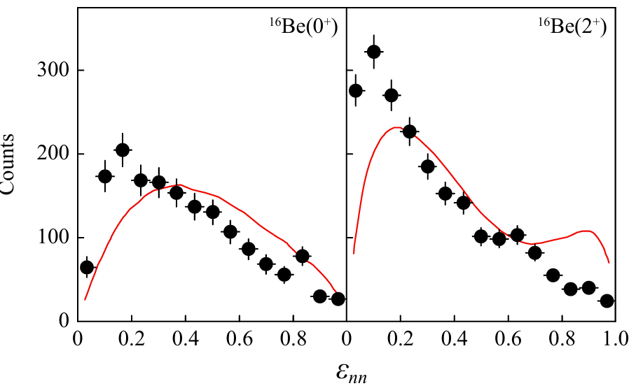
同时,在轻核区,最富中子的铍同位素16Be的奇特结构和衰变模式也通过17B的质子敲出反应进行了研究。首次观察到2个阈值之上相对狭窄的共振态,并且2个态均观察到直接的双中子发射衰变。通过与理论计算的核子关联对比表明(图9),该衰变过程是一个真正的三体过程。对人们了解极端条件下的核子关联与开放量子体系的衰变性质有重要意义。

图9 原子核16Be基态(左)与第一激发态(右)中的核子–核子关联
另一方面,有关原子核衰变的探测技术也在不断发展。耶鲁大学的研究团队利用动量守恒原理,研究了放射性原子发射α粒子的衰变过程。实验中,他们将二氧化硅微球悬浮在高真空中,微球表面植入了少量放射性铅–212原子。研究人员通过电学和光学2种方法同时监测微球(图10)。电学方法检测微球对振荡电场的响应,从而确定它携带的电荷变化,任何电荷变化表明核衰变导致了带电粒子的射出;而光学方法则通过微球散射的光追踪其运动,精确重构微球的反冲数据实验结果显示,α衰变能够通过微球上的反冲信号检测到,微球的质量是衰变产物的1012倍。该技术能够提高对中微子或暗物质等非相互作用粒子衰变产物的探测灵敏度,解决了传统衰变探测器的局限,尤其适用于检测那些难以与探测介质相互作用的粒子。

图10 光学陷阱中检测到来自微球中的核衰变
而作为尚未被发现的奇特衰变之一,暗衰变被认为能够解释中子半衰期之谜,即瓶装实验和束流实验所得的半衰期系统性差异。法国大型离子加速器(GANIL)上,研究人员通过利用高强度束流进行实验,搜索到与中子信号同时发生的事件,从而得出了暗衰变分支比的上限(95%置信水平)。并通过暗中子衰变模型,将这一结果转化为暗中子分支比的上限。根据不同的假设,这一限制比之前的结果改善了一个到几个数量级。
1.4 质量测量
质量,是原子核的一种非常基本且重要的性质。近些年,通过研究发现,原子核质量的测量也可以成为揭示原子核内部结构的独特手段。在2022年5月,密歇根州立大学的FRIB启动了其精密测量计划。研究人员认为这种奇异同位素显示出一种罕见但有趣的特性——具体来说,核外围被松散轨道的质子“晕”所环绕。这种晕结构在其短暂存在期间显示出独特的物理特性。中国科学院近代物理研究所的研究人员首创了“磁刚度识别等时性质谱术”(图11),并首次测量了23Si、26P、27S和31Ar的质量,并将28S的质量精度提高了11倍。

图11 用于储存离子的兰州重离子加速器冷却储存环及其配备的飞行时间探测器示意
基于这些新质量数据,还提取了一种叫做“镜像能量差”的物理量。这个物理量反映了一对镜像核(也就是质子数和中子数互换的一对原子核)之间核子结合方式的差异。利用镜像能量差,研究团队发现靠近质子滴线的原子核中确实出现了镜像对称性破缺。通过该方法,表明31Ar是一个双质子晕核,它最外层的2个质子会形成松散的质子晕(图12)。

图12 镜像核31Ar(左)和31Al(右)的核子分布想象
(图片来源:中国科学院近代物理研究所)
同时,对质量数不同的邻近原子核的质量研究也可以提取出有关核力等信息。国内的研究人员建立了一种基于相对论密度泛函理论的类壳模型方法,同时从微观和自洽的角度处理中子–中子、质子–中子和质子–质子的配对关联。无需任何特殊参数,计算结果很好地重现了观测的从Ni到Rb的偶–偶和奇–奇N=Z核中双结合能差δVpn随质量数演化趋势相反的异常现象(图13),发现这种异常分叉的机制是由于奇–奇N=Z核中的质子–中子配对关联比偶偶核中的增强。

图13 理论计算的从Ni到Rb的偶–偶和奇–奇N=Z核中双结合能差δVpn与实验对比
同时,镜像核中的电荷半径差异也能帮助了解核物质状态方程与中子星的性质。添加或去除原子核中的中子会导致原子核大小的变化,从而引起原子电子能级的微小变化,这种现象称为同位素位移。可以通过精确测量这些能级的变化来测量同位素的核半径。
在最近的一项研究中,研究人员使用激光辅助技术测量了稳定硅同位素硅–28、硅–29和硅–30的核半径。他们还测量了不稳定的硅–32核的半径。研究人员通过比较硅–32核与其镜像核氩–32(具有18个质子和14个中子)的半径差异,设定了描述天体物理学物体(如中子星)物理特性的变量的限制(图14)。该结果为核理论的发展提供了一个重要的基准。

图14 镜像核中的电荷半径差异能够帮助了解核物质状态方程与中子星的性质
在理论与实验结合方面,理论家们计算原子核性质时常常关注一部分核子(质子和中子),并假设这些粒子具有“有效电荷”,以某种方式补偿被忽略的所有核子与模型空间。然而,选择合适的有效电荷仍具有挑战性,往往依赖于理论模型,西班牙物质结构研究所的研究人员提供了明确的实验证据,表明有效电荷依赖于同位旋,即中子与质子的比例。该实验在日本理化研究所完成(图15)。

图15 日本理化研究所RIKEN的核科学装置(图片来源:RIKEN)
2、相对论重离子碰撞物理
2.1 能量关联
喷注(jets)是由高能夸克或胶子在碰撞中产生并快速向外扩展的粒子束,其不仅是探测高能重离子碰撞中夸克–胶子等离子体特性的有力工具,还可以为揭示强相互作用的基本机制提供重要信息。能量–能量关联函数(EECs)是一种用于研究喷注动力学状态和介质效应的观测量。
近期,核物理研究人员使用线性玻尔兹曼输运(LBT)和更现实的耦合LBT(CoLBT)模型,完整计算了高能重离子碰撞中γ喷流的能量关联函数。发现重离子碰撞中γ喷注的能量关联函数是由介质响应的弹性散射而非大角度诱导胶子辐射增强的。由于喷流部分子的能量损失和横向动量展宽,在小角度抑制了能量关联函数。进一步表明这些修正对介质内相互作用的角度尺度很敏感。对此类修正的实验验证和测量将揭示重离子碰撞中夸克–胶子等离子体的短距离结构(图16)。

图16 从末态喷注角度谱与能量流中提取夸克–胶子等离子体短程结构示意
另一方面,对喷注中的能量关联的测量也可以帮助确定强耦合常数。通过紧凑缪子线圈(compact muon solenoid,CMS)探测器实验收集的√s=13 TeV质子–质子碰撞事件样本,可以提取强子喷注中粒子间的能量关联。测得的分布与模拟中的趋势一致(图17),揭示了强相互作用的2个关键特征:约束和渐近自由。通过将测得的三粒子和两粒子能量关联分布之比与理论计算进行比较,确定了Z玻色子质量处的强耦合。

图17 从实验测量的E3C/E2C比值提取的αS值与理论对比
夸克–胶子等离子体这种极端条件下的物质状态可以近似地看成流体,一般这种流体的粘滞系数非常低。最近理论物理学家系统地研究了这种粘滞系数在广泛的碰撞能量范围内的变化,发现随着净重子密度的增加,流体的粘滞系数也会增加(图18)。这种基于数据的分析研究了粘度如何依赖于净重子密度,结果与理论计算相比较,为核物质相图研究提供了重要基准。

图18 模拟的金–金碰撞中流体性质随重子数变化
(图片来源:美国韦恩州立大学)
而另一项有关粘滞系数的研究则通过结合从LHC铅–铅碰撞中获得的数据,与初态模型以及流体动力学模型的结合,进行了系统分析。研究人员采用了贝叶斯模型平均和迁移学习技术,从而能够考虑流体动力学到强子过渡过程中的理论不确定性。研究表明,剪切粘度对该物理过程有较强的约束,但对符合数据的理论模型指标并不偏好温度依赖的剪切粘度,而是倾向于使用常数值的剪切粘度。
同时,在粒子对撞机中,科学家们通过比较精确的实验测量结果与标准模型的预测之间的微小偏差来寻找新物理的迹象。通常质子碰撞产物粒子流是一群高能粒子沿各种方向流动形成的离散团簇。然而,新物理现象也可能以低能粒子的球形均匀分布出现,称为软未聚类能量模式(SUEP)。目前,欧洲LHC的CMS合作组已经进行了首次对SUEP的搜索,但没有发现任何迹象。
2.2 高能核–核碰撞反应机制与动力学研究
高能核–核碰撞可以产生物质和反物质,为轻核和反轻核的合成提供了一个独特的场所。在这些瞬时碰撞的“小爆炸”中,创造了几乎无黏度的夸克–胶子等离子体。科学家们认为这种等离子体状态存在于大爆炸后的几微秒内的早期宇宙中。这种“小爆炸核合成”现象与物质–反物质不对称性的起源、暗物质寻找等基础物理关系紧密,因而理解其微观机制具有重要的理论和现实意义。
复旦大学的研究人员在小爆炸核合成理论方向取得重要进展。基于包括强子再散射效应的相对论量子多体输运方法,研究发现,如图19所示,在包括由π介子参与的多体反应中,高能重离子碰撞中氚的产量在强子化后强烈减少至原来的5/9。这一发现得到RHIC的STAR合作组(Solenoidal Tracker at RHIC)和LHC的欧洲核子中心国际高能核物理合作组(ALICE合作组)精确测量的支持,揭示了统计强子化模型在理解这些碰撞中氚核产生的不足之处,强调了强子气体阶段的微观动力学在小爆炸核合成中的重要作用。

图19 高能核–核碰撞的时间演化,从左到右显示了产生的热密物质经历的不同阶段
同时,ALICE合作组在√SNN=5.02 TeV的pp和中心Pb–Pb碰撞中,测量了由高横向动量(高pT)强子触发反冲所给出的带电粒子喷注的半单举分布。给出了反冲喷注的分布(图20)。测量结果表明存在着明显的介质诱导喷注产额增强,可能是由于夸克–胶子等离子体介质对喷注传播的响应所导致的。

图20 √SNN=5.02 TeV的pp和中心Pb–Pb碰撞中反冲喷注的分布
2.3 反物质超核
超核是由核子和超子组成的束缚态体系,有助于人们理解影响中子星内部结构的超子–核子(Y–N)相互作用。如图21所示,最简单、最轻的超核是(反)超氚核,它可以理解为由一个(反)超子围绕着一对(反)核子的晕核结构。目前对(反)超氚的性质研究包括其质量、弱衰变的寿命以及结合能等。然而,它的自旋以及自旋内部结构却缺少相关实验证据和理论研究。
复旦大学的研究人员开展了重离子碰撞中(反)超氚核的整体极化效应的理论研究,研究提出可以用实验测量的超氚核的整体极化效应提取超氚的自旋内部结构以及在重离子碰撞中的极化产生机制。该研究率先从理论上将超核极化效应拓展至超核系统,认为重离子碰撞中产生的核子和超子通过自旋相关的并合机制形成超核时,超核的极化度将直接依赖于核子和超子的自旋极化度以及超核波函数的自旋结构。

图21 超氚核的自旋以及自旋内部结构示意
反物质是由反粒子组成的物质。当正物质与反物质相遇时,它们会发生湮灭,转化为纯能量。这一特性不仅在理论物理中具有深远意义,也为医学中的正电子发射断层扫描(PET)和未来的能源开发提供了潜在应用。然而,宇宙中几乎完全由正物质组成,而反物质非常稀少的现象,即正反物质的不对称性,依然是现代物理学的一个未解之谜。由中国科学院近代物理研究所相对论重离子碰撞团队主导的实验分析中,他们在分析了约66亿次重离子对撞事件后,实验团队成功识别出约16个反超氢–4核(图22),这也是迄今为止人类发现的最重的反物质超核。

图22 反超氢–4核不变质量信号
2.4 高能重离子碰撞中的极端电磁场
在高能重离子碰撞的非对心碰撞中,由于核碎片带有正电荷且接近光速,理论预测它会在空间中诱导出极强的磁场,如图23所示。磁场的寿命由碰撞能量、夸克–胶子等离子体产生时间及夸克–胶子等离子体电导率等多种因素决定,因此对磁场寿命的研究也能帮助人们了解夸克–胶子等离子体的电磁性质。复旦大学研究组在RHIC–STAR国际合作组的高能重离子碰撞实验中,利用带电粒子在电磁场中的运动学性质,观察到了与电磁场效应预期一致的电荷依赖的粒子直接流劈裂。此项研究不仅为量子色动力学研究领域带来新的科学工具,也为未来的实验物理提供了新的研究方向。

图23 高能重离子碰撞及其诱发的超强电磁场示意
3、交叉学科
3.1 中低能与高能的交叉
复旦大学研究团队与纽约州立大学石溪分校团队合作,利用高能重离子碰撞实验,研究了末态强子的集体流、平均横向动量涨落及其皮尔逊相关系数等3种软探针观测量(图24)。该研究首次在跨能量尺度上揭示了铀–238原子核基态的几何形态,表明其具有较大的椭球形轴对称四极形变,并且存在微小的轴对称破缺三轴形变自由度。该结果与传统低能实验测量和理论研究一致,为原子核结构的成像提供了全新的方法。

图24 低能测量和高能重离子碰撞研究原子核结构方法示意
同时,高能核反应也被用于探测原子核的高阶形变。2024年发表在Physical Review Letters中的研究确定了相对论U+U碰撞中十六极各向异性对椭圆度的非线性响应(图25)。

图25 U+U碰撞与Au+Au碰撞的非线性响应的差别
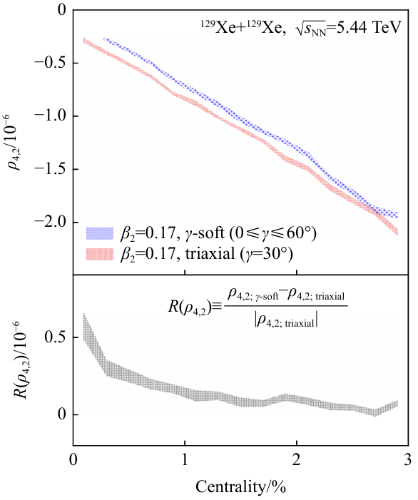
同时,形状相变在中低能原子核物理中也是也一个重要的概念,主要用来解释某些同位素或同中子素链在其低能结构(如核子关联与集体运动模式等)及性质演化过程中的变化。这一现象与核的对称性密切相关,深入了解其规律将加深我们对原子核基本性质的认知。利用iEBE–VISHNU耦合模型,北京大学团队系统地计算了129Xe+129Xe碰撞中的椭圆流与横动量关联等观测量,并预测ρ4,2等6粒子关联对二级形状相变的敏感性(图26)。

图26 ρ4,2等6粒子关联对二级形状相变的敏感性
3.2 无中微子双贝塔衰变
作为超出标准模型的新物理,0νββ的发现将为中微子具有马约拉纳性质以及轻子数守恒不成立提供明确的实验证据。由上海交通大学主导的PandaX合作组利用PandaX–4T探测器,在中国锦屏地下实验室开展了对自然氙中134Xe和136Xe的0νββ研究。图27中给出了134Xe的2νββ和0νββ搜寻能谱拟合。

图27 134Xe双中微子双贝塔衰变和无中微子双贝塔衰变搜寻能谱拟合,能量区间为200~1000 keV
另一方面,中微子相干弹性散射与暗物质直接探测在历史上也一直交织在一起。PandaX合作组利用总曝光时间为259 d的数据,以2.64的置信度首次观测到太阳中微子和原子核相干弹性散射的迹象(图28),表明液氙暗物质探测器已经到达了里程碑的灵敏度,也验证了利用相干弹性散射探测低能中微子这一新方式的可行性。

图28 PandaX–4T采集的数据在能量和信号宽度的两维分布,粉红色为拟合的太阳硼–8中微子超出信号
作为另一个重要的搜寻0νββ的大型装置,低温地下稀有事件观测站(CUORE)是一个由988个5 cm×5 cm×5 cm的TeO2晶体组成的探测器阵列,在低于20 mK的条件下运行,主要用于搜索130Te的0νββ。作为低温热量计实验中规模空前的项目,CUORE为研究奇异的穿透性粒子提供了一个有前景的实验环境。利用CUORE第一个吨年的探测数据,合作组开展了对假设的分数电荷粒子(FCPs)的搜索。
3.3 超精细结构
通常情况下,原子核的性质不会受到核外电子的影响,但内层电子在原子核处可产生强大的电磁场,诱发不同核态之间的混合,从而改变原子核的性质。这一效应被称为原子核超精细混合效应(nuclear hyperfine mixing)。当2个电子态之间的能量差与原子核能级差匹配,同时角动量也满足匹配条件时,便可能出现显著的超精细混合效应。基于这一新机制,研究预测在类硼铅–205离子(铅–205的77价离子)中,由于2p1/2和2p3/2电子态之间的能量差(2356 eV)与铅–205原子核第一激发态的能量(2329 eV)接近,将引发显著的超精细混合效应(图29)。

图29 类硼铅–205离子中的超精细混合效应
原子核谱学的超精细劈裂现象成为探究核结构和检验量子电动力学(QED)的重要手段。华中师范大学研究团队通过引入光核反应理论,严格计算了双光子交换中的原子核虚激发过程。取得了与实验测量一致的结果(图30)。这一研究解决了氘与缪氘原子超精细劈裂测量与QED预测之间长期存在的不一致性,突显了核结构效应对原子超精细劈裂谱的重要贡献,标志着在利用精密光谱学探测核结构方面取得了重要突破。

图30 双光子交换中的原子核虚激发
同时,发表在Nature上的研究展示了一种对高Z区中更高阶QED效应和电子–电子相互作用敏感的实验。通过使用基于多参考法的多普勒调谐X射线发射方法,研究了不同电荷态的相对论性铀离子。
另一方面,X射线自由电子激光(XFELs)的出现为探索多激发态下的X射线与原子核的相互作用打开了大门。复旦大学的研究组展示了一个由相同共振核组成的集合体中X射线光子的发射如何依赖于系统中的激发数量。特别的,在多激发条件下,X射线量子的检测是按发射顺序选择的。该工作提供了一种研究来自协同共振核的多光子X射线发射的有效方法,这在理解非线性X射线光学和原子核的多体物理学方面具有重要的进展。
许多利用精密原子光谱检验粒子物理标准模型的实验,以及探索新物理现象的研究,都受到对核性质认识不足的限制。最近,有研究聚焦于9Be,这一体系为利用彭宁离子阱中对不同电荷态进行高精度光谱对比提供了独特的机会,可用于检验通常被核结构效应掩盖的理论计算。
3.4 核钟
任何可靠产生的周期现象——从钟摆的摆动到单个原子的振动——都可以作为钟表的基础。如今,最精确的计时依赖于原子中极窄的电子跃迁,这些跃迁在光学频率上共振。利用激光光源从核基态激发其共振跃迁——这是控制操作核钟并过渡到“激光主导”的核钟研究时代所必需的步骤——在几十年里始终无法实现。2024年,研究人员实现了用紫外光激发这一跃迁的长期目标。德国计量国家研究所(PTB)和维也纳工业大学的研究人员,使用自主设计的激光激发了钍同分异构体229mTh,并以前所未有的精度测量了其跃迁能量和波长,为实现核钟打开了大门(图31)。

图31 钍–229原子核与激发能谱跃迁示意
同时,来自美国的课题组利用紫外激光直接激发固态CaF2宿主材料中的229Th跃迁,并测定了其绝对跃迁频率。通过将频率梳的基础频率锁定至联合天体物理实验室(JILA)的87Sr原子钟,在核能级与电子能级之间建立了频率链接(图32),从而首次测量了229Th核钟跃迁与87Sr原子钟的频率比。

图32 229Th原子核的紫外光谱,与87Sr原子钟的频率链接
进一步,日本的研究人员发现,与其他电荷态不同,三价钍–229(229Th3+)最适合用于高精度核时钟,因为其具有封闭的电子壳层结构,能够实现激光冷却、激光诱导荧光检测和离子态制备。
3.5 核物质状态方程与核天体物理
从核心坍缩超新星爆发到中子星合并,量子多体计算在理解极端天体环境中物质的行为方面起着至关重要的作用。然而,由于现实核力的复杂性,高精度的第一性原理计算面临诸多挑战,例如蒙特卡洛计算中广泛存在的符号震荡问题。华南师范大学科研团队与合作者,利用最新发展的波函数匹配(wavefunction matching)方法,通过微扰论成功绕过了符号震荡问题,创新性地提出了秩一算符(rank–one operator)方法,有效应对了多体算符和高阶修正的计算瓶颈。结果显示,在低密度条件下,格点计算结果与传统的维里展开方法高度一致;而在高密度条件下,格点计算展现出显著优势,提供了更可靠的理论预言,弥补了其他近似方法的不足(图33)。这些格点计算结果为随机相位近似(RPA)及其他理论模型的标定提供了高精度数据,也为超新星爆发的三维模拟提供了关键的输入量。

图33 静态结构因子(a);动量依赖中子物质结构因子(b)
一般认为,最重的化学元素是通过中子星合并或超新星爆发中的快速中子捕获过程(r过程)自然生成的。对于铀以外的元素(超铀元素)的r过程生产机制理解尚不充分,且难以通过实验直接获得,因此必须通过核合成模型进行推测。
最近的数据还显示,一些恒星中某些元素的含量超出了模型的允许范围。密歇根州立大学和德国科隆大学的研究团队通过测量与核合成路径“i过程”相关的中子俘获截面,帮助解决了这些元素丰度问题。
另一方面,轻质量核区也有很多天体关键核反应,核天体物理学及其应用领域急需精确的核反应数据来理解宇宙中的元素合成的重要过程。这些核反应发生的主要场合被认为是超新星和双中子星并合(图34)。近日,研究人员利用最先进的中子探测阵列进行了一项覆盖广泛能量范围的高分辨率微分截面研究。同时研究人员也首次实验确定了通过氧–17与锂–7进行的α转移反应,得到的氖–21的α谱因子和部分宽度。这些测量结果显著改善了对恒星能量截面的外推,并解决数据中长期存在的差异。

图34 双中子星并合示意
原子核物理的相关研究也对人们了解太阳系有着重要帮助,特别是寿命约为百万年的放射性核素能够揭示太阳的形成历史和其诞生时的活跃核合成过程。20世纪80年代提出的Lorandite实验(LOREX)旨在通过含Tl的天然红铊矿来获得长时间的太阳中微子平均通量(图35)。测量得到的半衰期比理论估计更长,这降低了Lorandite实验中的预期信噪比,从而对其可行性提出挑战。这一测量结果表明,太阳中微子的俘获截面比先前预期的要低。

图35 205Tl离子β衰变示意
3.6 核医学
近年来,离子治疗技术迅速发展。国内最先是复旦大学质子–重离子医院率先引入国外的装置开展质子–重离子癌症治疗工作,通过多年来的应用已经取得了良好的癌症治疗效果。而对于常规剂量率的治疗,超高剂量率FLASH放射治疗是近10年来放射肿瘤学领域最有前途的创新技术之一,有望根除耐放射的原发性肿瘤,改善癌症患者的治疗效果。目前FLASH效应已在电子、光子和强子(质子和重离子)束中得到证实。另一方面,医学影像学中的PET对癌症、阿尔茨海默病等疾病的诊断至关重要。PET成像面临的一个主要挑战是过滤掉因湮灭光子与病人体内的电子散射而未能直接到达探测器的事件(图36)。这种过滤至关重要,因为这些事件约占所有探测到的光子对的90%,并导致PET图像模糊。

图36 205Tl离子β衰变示意
2014年,科学家提出,通过仔细分析来自同一湮灭的2束光子的偏振方向差异,可以抑制模糊事件。但2023年的一项实验表明,纠缠在一束光子散射后仍然存在。最近,科研工作者将这些研究扩展到70°的散射角度,并观察到首次明确证据。该理论认为,来自纠缠对的光子在特定角度散射的概率,不仅取决于光子的动量和偏振,还与光子之间的纠缠程度有关。
4、总结
2024年原子核物理的研究取得了许多显著的进展,涵盖了从基础理论到实验观察的多个领域。首先,在原子核结构的研究方面,核壳层模型和幻数的验证依旧是核心议题,特别是在极端条件下的核子行为和核结构的特殊性质。在中子亏缺区域,某些重元素核子表现出异常的稳定性,进一步推动了对核力和色禁闭后核力机制的理解。此外,新一代核科学装置不断拓展对滴线区核素的研究,揭示了未知核素的性质。通过高精度的质量测量和衰变研究,提供了对核结构和衰变机制了解的全新视角。
在高能核物理方面2024年的研究介绍了高能核物理的前沿进展,重点讨论了重离子碰撞实验中的夸克–胶子等离子体现象,及其对早期宇宙物质状态的揭示。同时,核天体物理也取得了新进展,特别是在超重元素、重核同位素和中子星的研究中,提供了关于原子核形变、衰变等特性的深入洞察。
此外,随着核科学装置的不断升级以及新技术的应用,原子核物理在不同领域的潜力被进一步发掘,展示了核物理学的多学科交叉与应用前景。
本文作者:马余刚、王思敏
作者简介:马余刚,教授,中国科学院院士,研究方向为原子核物理。王思敏,国家级青年人才,复旦大学现代物理研究所(核科学与技术系)青年研究员,研究方向理论核物理。
文章来源:马余刚, 王思敏. 2024年原子核物理科技热点回眸[J]. 科技导报, 2025, 43(7): 21-47.