有机反应中的含氟与含硫新试剂
发布时间: 2025-03-03
新试剂的研究和开发对有机合成具有重要意义。近年来,一些具有普遍适用性的新试剂不断出现。盘点了一些含氟和硫的官能化新试剂,如氟甲基化试剂,二氟甲基化试剂和三氟甲基化试剂,介绍了用于硫甲基化的新试剂DMSO-I2和DMSO-TsCl试剂,推介了一种用于芳香醇选择性氧化制醛的含硫新试剂Na2S2O4-TBHP。
新试剂的研究和开发对有机合成具有实际意义,发现和开发新试剂对于拓展有机反应新方法极其重要。新型化学试剂可以为合成化学家提供新的工具和帮助,具有普遍适用性的新试剂能够为化学科学别开生面。新试剂的发现和开发对于拓展有机合成的新方法至关重要。含氟和含硫有机化合物在药物研究中具有很大的价值,在发展现代有机合成方法学中发挥着重要作用。
传统的经典化学试剂例如格林雅试剂、Wittig试剂等为化学科学的发展做出了里程碑式的贡献。近年来,一些具有普遍适用性的新试剂被不断报道出来。本文论述用于二氟甲基化、三氟甲基化和硫代三氟甲基化的含氟新试剂以及一些典型的含硫新试剂的最新研究进展。这些试剂几乎都是官能团化试剂,如直接氟甲基化、二氟甲基化和甲硫基化等,含硫试剂Na2S2O4-TBHP是芳香醇选择性氧化生成醛的一种新试剂。
开发新试剂对合成化学意义重大。化学家在新试剂的开拓方面不断取得新的进展。
金催化的串级反应是杂芳烃的C—H官能团化的新方案。Ariafard报道了用乙炔基苯并碘氧化物(EBX)试剂进行的金催化的炔化的官能团化研究,可以看出,采用该试剂是一个关键。转化反应如图1所示。
图1 用EBX试剂进行金催化的炔化反应

Grygorenko报道了一种用于Suzuki-Miyaura反应的新试剂(图2),即2,2-二氟乙烯基片呐硼烷(CF2=CHBPin)。新试剂(CF2=CHBPin)是一种易于处理的高沸点的液体,具有足够的稳定性(在4℃以下储存数月后未观察到降解)。该试剂与(杂)芳基和乙烯基溴化物的Pd(dppf)Cl2 催化反应被证明是一种有效的合成偕二氟苯乙烯类化合物的好方法。新试剂(CF2=CHBPin)的制备方法及反应式如图3所示。
图2 Suzuki-Miyaura反应的新试剂(CF2=CHBPin)


Knochel通过苄基锌醇化物的裂解,发展了一种新的苄基锌试剂制备方法。这种方法避免了副产物的形成。
Ando报道了一种新的亚甲基化试剂1-甲基-2-(甲磺酰基)苯并咪唑,制备方法如图4所示。它可以在t-BuOK存在下与多种醛和酮反应,在温和的反应条件下高产率得到相应的末端烯烃(图5)。
图4 新试剂1-甲基-2-(甲磺酰基)苯并咪唑的制备方法


Espinet报道了锡化聚山梨醇作为清洁Stille反应的新试剂,在Stille偶联中使用这些聚山梨醇试剂提供了简单的反应后处理,分离纯化容易,产物收率高。
1 用于直接氟甲基化的新试剂
1.1 二氟甲基化新试剂
Baran报道了一种新的试剂(Zn(SO2CF2H)2,DFMS)(图6),用于通过自由基过程对有机底物进行二氟甲基化。这种二氟甲基化试剂能够与一系列含氮杂芳烃底物以及某些共轭π-体系和硫醇类化合物很好地兼容。
图6 二氟甲基化新试剂(Zn(SO2CF2H)2,DFMS)

Olah报道了一种亲电二氟甲基化试剂S-二氟甲基-S-苯基-2,3,4,5-四甲基苯基锍四氟硼酸盐(图7),这种新试剂已被证明可有效地将亲电二氟甲基引入亲核试剂,如磺酸、叔胺、咪唑衍生物和膦。然而研究发现,这种新试剂未能将二氟甲基转移到酚类以及伯胺和仲胺中。用于将二氟甲基引入亲核试剂中的二氟甲基化新试剂S-二氟甲基-S-苯基-2,3,4,5-四甲基苯基锍四氟硼酸盐的制备方法如图8所示。
图7 用于将二氟甲基引入亲核试剂中的二氟甲基化新试剂

图8 S-二氟甲基-S-苯基-2,3,4,5-四甲基苯基锍四氟硼酸盐的制备

Nielsen报道,二氟乙酸可以作为一种新试剂用于杂芳化合物的C—H键二氟甲基化(图9)。二氟乙酸价格低廉,该试剂的反应可控,而且能够直接通过C—H官能团化用于制备单和双二氟甲基化衍生物。一步获得双二氟甲化产物是一种新的方法。二氟乙酸试剂能够制备杂芳香族化合物的二氟甲基化衍生物。
图9 新试剂二氟乙酸直接一步双二氟甲基化

2023年,Qing报道了在温和的反应条件下,用(CH3)3SiCF2X和CuX(X=Cl或Br)氧化苯酚的氯代和溴代二氟甲基化。这种新试剂(CH3)3SiCF2X为合成各种具有生物价值的氯代和溴代二氟甲基芳醚提供了一种有效的方法(图10)。机理研究表明,该反应是通过二氟卡宾参与的氧化偶联过程进行的。该方案能够有效地从简单的酚类化合物中构建目标化合物。
图10 新试剂(CH3)3SiCF2X 合成氯代和溴代二氟甲基芳醚

1.2 三氟甲基化新试剂
Chu制备了一种新的三氟甲基化试剂N三氟甲基琥珀酰亚胺(NTFS)。它易于在温和的条件下制备、储存和使用。Chu利用NTFS作为三氟甲基的来源,开发了一种无金属催化的芳香胺三氟甲基化的策略,并以较好的产率获得了一系列三氟甲基产物(图11)。Chu根据相应的实验和相关文献,提出了自由基反应机理。Chu等提出的NTFS试剂对芳香胺的三氟甲基化反应的机理如图12所示。
图11 NTFS试剂对芳香胺的三氟甲基化反应

图12 NTFS对芳香胺的三氟甲基化反应机理

Soloshonok报道了全氟-3-乙基-2,4-二甲基-3-戊基自由基(PPFR)可以成功地用作芳烃的自由基三氟甲基化的新试剂。PPFR是一种在室温下稳定的自由基,在90℃下容易分解产生CF·3 自由基,CF·3 自由基可与多种芳香族化合物反应,以良好至优异的收率制得相应的三氟甲基化衍生物(图13)。
图13 PPFR的结构与反应

Tang报道了用三氟甲基芳基磺酸盐(TFMS)作为一种新的三氟甲氧基化试剂,用银催化烯烃的不对称分子间溴代三氟甲酰基化反应(图14)。这种新试剂提供了直接获得各种三氟甲氧基化产物的途径。三氟甲基芳基磺酸盐(TFMS)易于制备且热稳定好,具有良好的反应性。该反应官能团耐受性广,并可在温和条件下进行克量级合成。这种新的三氟甲氧基化试剂可以在药物和农业化学品以及合成三氟甲酰基化合物方面得到广泛应用。
图14 三氟甲氧基化新试剂对烯烃的溴三氟甲酰基化反应

Liu报道了一种新的三氟甲基化试剂Cu(O2CCF2SO2F)2,它可以在室温下分解生成活性CuCF3 物种,Cu(O2CCF2SO2F)2 可以由廉价起始原料大规模量制备,Cu(O2CCF2SO2F)2可以有效地用于多种卤代芳烃的三氟甲基化(图15),并得到很好的收率。
图15 新试剂Cu(O2CCF2SO2F)2的三氟甲基化反应

Li报道了一种在光的作用下无催化剂和氧化还原的中性的三氟甲基化试剂(图16),这种试剂可以进行一系列的三氟甲基化反应,这种三氟甲基试剂涉及自由基反应的历程。
图16 无催化剂和氧化还原的中性三氟甲基化试剂

Magnier报道了具有稳定性的高价碘三氟甲基化新试剂,该试剂能够以对映体的形式分离出来,这对前手性的底物进行不对称三氟甲基化做出了有益的探索(图17)。

图17 高价碘三氟甲基化新试剂A与各种亲核试剂的反应
1.3 硫代三氟甲基化新试剂和全氟烷基化试剂
Tlili报道了在蓝色LED照射下,用新的稳定试剂PhPh-N-(SCF3)(CF3 ) 与4CzIPN作为有机光催化剂催化C—SCF3 键的形成(图18)。乙烯基C—SCF3 的合成在溴盐作为活化添加剂的存在下进行,三氟甲硫基化合物的合成是在氢迁移(HAT)下使用醛作为起始物进行的。EPR光谱实验检测到了关键的自由基中间体,支持了游离基反应的机理。

图18 PhPh-N-(SCF3)(CF3)新试剂的硫代三氟甲基化反应
Li报道了一系列稳定的α-(全氟烷基磺酰基)-芳基化合物的合成。这种新试剂能够在无金属和pH中性条件下,通过芳烃衍生物进行全氟辛基化等(图19)。

图19 全氟烷基亚磺酸盐试剂亲核取代反应的全氟烷基化
1.4 三氟甲氧基化试剂:苯甲酸三氟甲基酯
中国科学院上海有机化学研究所胡金波研究员开发了苯甲酸三氟甲基酯作为一种新型和易于制备的新试剂,可以用于各种芳香族和脂肪族三氟甲氧基化反应。三氟甲氧基化的新试剂苯甲酸三氟甲基酯,是一种容易制备的氟源化合物。在冠醚络合钾的作用下,能够在室温下顺利地进行三氟甲氧基化-卤化反应(图20)。

图20 三氟甲氧基化-卤化反应
为了进一步证明苯甲酸三氟甲基酯的合成效用,胡金波研究员将其应用于其他三氟甲基醚的合成,极大地拓展了不同的三氟甲氧基化方案,使苯甲酸三氟甲基酯新试剂进行三氟甲氧基化的反应更具有普适性(图21)。

图21 苯甲酸三氟甲基酯的多功能三氟甲氧基化
2 含硫新试剂
2.1 DMSO-I2试剂
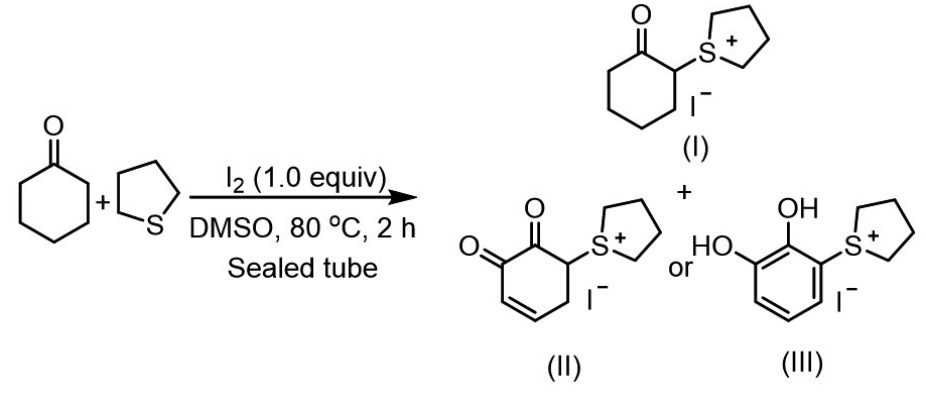
DMSO-I2 是甲硫基化和羟基化反应新试剂。在没有任何金属催化剂的情况下,工业化学品环己酮在DMSO-I2 试剂的作用下,中国科学院理化技术研究所王乃兴研究组通过碘化、氧化、甲硫基化、芳构化的机理,一步引入3个官能团,在甲硫基化的同时得到邻二羟基(图22)。DMSO在该反应中充当甲基硫源、氧化剂和反应溶剂。该反应条件温和,产率高。

图22 合成甲硫基取代的邻苯二酚
该研究组对机理研究发现,自由基捕获剂的加入不能猝灭反应,表明反应不是自由基反应,而是离子反应过程。通过加入四氢噻吩,成功捕获了反应过程中产生的中间体(图23),并通过高分辨率质谱确认了该反应中间体。

图23 甲硫基取代的邻苯二酚合成过程中的中间体俘获
在产物甲硫基取代的邻苯二酚的进一步应用方面,以H2O2 为氧化剂,在稀土催化剂 Sc(OTf)3 的催化下,以甲硫基取代的邻苯二酚为反应物,以98%的收率得到了甲基亚砜取代的邻苯二酚(图24)。这类亚砜化合物是有机合成中的一种重要前体。DMSO-I2试剂可用于通过氧化、甲硫基化、脱氢和芳构化过程合成甲硫基取代的邻苯二酚。各种环己酮都能以中等至良好的产率顺利地转化为相应的甲硫基取代的邻苯二酚衍生物。

图24 产物甲基亚砜取代的邻苯二酚的进一步应用
2.2 DMSO-TsCl试剂
二甲基亚砜(DMSO)是一种容易获得且毒性较小的极性溶剂。在过去的几十年里,它被报道可以作为许多有机化合物的重要前体,如-SMe、-SOMe和-SO2Me化合物的前体。先前报道的甲硫基化使用了大量的催化剂和苛刻的反应条件,王乃兴研究组报道了用DMSO-TsCl试剂对呋喃、噻吩和吡咯进行甲硫基化反应。DMSO-TsCl试剂不仅以高产率获得了甲硫基吲哚(图25),而且吡咯、呋喃和噻吩等五元杂芳烃也以中等至良好的产率和优异的区域选择性获得了所需的产物。在40多种甲硫基化产物中,收率为96%。

图25 杂芳化合物甲硫基化试剂:DMSO-TsCl
根据实验结果,进一步提出了一个合理的反应机制。DMSO最初被TsCl活化形成DMSO-TsCl(A),并作为杂芳烃的甲硫基化试剂,形成稳定的中间体C。高分辨质谱(HRMS)检测了上述参与该机制的关键中间体(A和C),证实了该反应的机理(图26)。

图26 甲硫基化试剂:DMSO-TsCl的反应机理
该研究组还进行了克量级反应(88%的产率)和甲硫基化产物的进一步衍生化。DMSO-TsCl试剂是在杂芳烃化合物中构建C—S键非常有效的新试剂,为合成有用的杂芳族硫化物和其他硫醚化合物提供了一种实用的方法。
2.3 Na2S2O4-TBHP
王乃兴研究组开发了新试剂Na2S2O4-TBHP,其是芳香醇选择性氧化制醛的试剂,具有反应条件温和、产物收率高、操作方便等优点。2023年10月,在罗马尼亚技术科学院组织的第18届“挑战、机遇和解决方案——罗马尼亚技术科学院日”主题会议上,Na2S2O4-TBHP试剂被称为Wang reagents(王试剂)。
该研究组在合成一种新型辅酶NADH模型分子的过程中偶尔发现Na2S2O4-TBHP是一种新的氧化剂,可以氧化Hantzsch-1,4-二氢吡啶(图27),产率比较高。经过进一步研究发现,多取代的伯芳醇和一些杂环伯醇可以通过Na2S2O4-TBHP试剂进行反应,以中等或较高的产率生成醛(图28)。

图27 Na2S2O4-TBHP氧化Hantzsch-1,4-二氢吡啶

图28 Na2S2O4-TBHP用于把芳香醇选择性氧化为醛
醇的选择性氧化产生相应的醛是有机化学中一个经典且具有挑战性的课题,例如Swern反应和Dess-Martin反应,它们是氧化伯醇产生相应醛化合物的传统方法。但是这些经典方法无法避免有毒有害废物的产生,也不利于反应物的再处理;而Na2S2O4-TBHP环境友好,反应物后处理简便。
王乃兴研究组对Na2S2O4-TBHP选择性氧化醇类为醛类的反应过程进行了深入研究。通过使用常见的游离基捕获剂DMPO(5,5-二甲基-1-吡咯啉-N-氧化物)捕获反应中产生的硫酸根游离基,在室温下对反应进行了一系列电子顺磁共振(EPR)检测。首先,使用乙酸乙酯作为反应溶剂,将捕获剂DMPO添加到反应体系中,并分别在5、20和40 min对反应溶液进行电子顺磁共振检测。电子顺磁共振谱图中出现了4组含量几乎相等的四重信号峰。根据已经报道的相关文献,可以有效地证实游离基SO4·-是在反应体系中产生的。
从实验结果中可以清楚地观察到,自由基的含量随着反应时间的延长而逐渐增加。此外,从优化反应条件得到的实验结果看,不同的反应溶剂会对这种选择性氧化反应产生一定的影响。此外,通过其他验证性实验,如在反应体系中加入自由基阻断剂BHT(2,6-二叔丁基-4-甲基苯酚)和TEMPO(2,2,6,6-四甲基哌啶氧化物),发现反应产率下降。仅用Na2SO4代替Na2S2O4-TBHP进行该反应,或者用K2S2O8-TBHP代替Na2S2O4-TBHP,或单独使用K2S2O8 进行验证性实验,均无法获得所需产物。通过连续测定反应溶液的高分辨质谱(HRMS),进一步证实了游离基SO4·-的存在。
王乃兴组提出了芳香醇氧化为醛的反应机理。反应在Na2S2O4-TBHP存在下在N2下进行,结果表明TBHP在该反应中作为末端氧化剂。当分别给反应体系中加入自由基抑制剂,产率明显下降,表明反应应该经历一个自由基氧化过程。在该反应中,Na2S2O4-TBHP的本质是可以产生自由基阴离子A(硫酸根游离基阴离子),发现A是在该反应条件下将芳香醇(B)氧化为醛(C)的优良的可控氧化剂。机理图如图29所示。

图29 芳香醇氧化成醛的合理反应机理
王试剂的应用为:向醇(0.5 mmol)和Na2S2O4(1.0 mmol)在乙酸乙酯(4 mL)中的混合物中缓慢加入化叔丁基过氧化氢(2.0 mmol,70%在水中)。混合物在室温下搅拌12 h。在减压下蒸发乙酸乙酯后,使用石油醚和乙酸乙酯作为洗脱剂在硅胶柱上分离残留物即可。机理研究证实,自由基阴离子SO4·-的生成是实现该新型Na2S2O4-TBHP试剂的关键。
2.4 Na2S·9H2O-CH3CN试剂
王乃兴研究组用Na2S·9H2O-CH3CN试剂,通过串级反应合成了四氢硫吡喃亚砜。他们发现,在无催化条件下,用α,β-不饱和羰基酮与硫化钠进行高效缩合反应制备四氢噻喃,获得了多种四氢噻喃衍生物,并以良好的产率氧化成相应的亚砜(图30),操作简便产率较高。典型串级反应的机理如图31所示,S2-启动了整个串级反应过程。溶剂CH3CN被证明在反应中起着关键的作用,该串级反应使用了混合溶剂CH3CN和H2O(1∶1),实现了较高的产率(82%)。

图30 采用Na2S·9H2O-CH3CN试剂合成四氢硫吡喃亚砜

图31 Na2S·9H2O-CH3CN试剂串级反应机理
2.5 N-二硫代三氟甲基邻苯二甲酰亚胺新试剂的-SSCF3 官能团化
姜雪峰设计并制备了一种用于直接-SSCF3 官能团化的亲电邻苯二甲酰亚胺基SSCF3 试剂,可以进行不对称二硫代三氟甲基化反应,并且具有良好的对映选择性(图32)。

图32 新试剂N-二硫代三氟甲基邻苯二甲酰亚胺的官能团化反应
新型亲电试剂N-二硫代三氟甲基邻苯二甲酰亚胺,能够通过SSCF3 官能团化反应得到各种酮酯,可以用于药物和天然产物合成。研究发现金鸡纳生物碱的催化效果好。
含硫新试剂,不仅对于发展有机合成新方法具有重要意义,含硫新试剂在构建含C—S键分子的新反应方面具有实际应用价值。
王乃兴研究组致力于通过C(sp3)-H活化苯乙烯衍生物与溶剂类分子的双官能团化反应,德国有机合成杂志Synthesis和Synlett将此总结为王反应。
论述了一些新型含氟、含硫试剂的研究进展。综述了近年来二氟甲基化、三氟甲基化和硫代三氟甲基化新试剂的开发,这些试剂对发展直接的C—H键官能团化非常重要,重点提供了一些含硫的新试剂:DMSO-I2 试剂、DMSO-TsCl试剂和Na2S2O4-TBHP试剂。Na2S2O4-TBHP是一种非常有价值的把芳香醇选择性氧化为醛的新试剂。对一些含硫的新试剂的反应机理进行了详细的描述。开发新的化学试剂对拓展有机合成的新方法具有重要意义。
作者简介:王乃兴,中国科学院理化技术研究所,研究员,罗马尼亚技术科学院院士,研究方向为手性技术、绿色转换等有机合成。