超效率模型下“丝路”沿线省份能源综合效率时空分异与影响因素
发布时间: 2024-10-21
本研究使用2006—2019年丝绸之路经济带沿线省市数据,采用超效率SBM模型和地理探测器模型,测度了能源综合效率及其影响因素。研究表明:丝绸之路经济带能源综合效率总体呈先下降后上升的“V”字形特征,效率整体呈上升趋势;技术进步对能源综合效率的贡献最大,沿线省份的技术效率有待加强;单影响因素影响显著,其中能源结构和产业结构作用呈现上升趋势,政府干预、城市化、互联网普及率、交通可达性和环境规制呈下降趋势;双因素交互作用大于单因素作用,其中能源结构与其他因素结合、交通可达性与其他因素结合是丝绸之路经济带能源综合效率最主要的影响因素。
能源问题是我国当前面临的巨大挑战之一,随着经济规模的不断扩大,我国对能源的需求正逐年提高。丝绸之路经济带连接亚欧大陆和欧洲发达经济圈,优越的交通枢纽地位使其成为全球贸易和能源输送的重要通道。本文研究丝绸之路经济带沿线省份的能源综合效率,具有以下几个方面的意义:
首先,高效的能源利用有助于促进能源资源的共享和互联互通,减少各地区对单一能源来源的依赖,从而实现能源多元化。
其次,提高效率将增加省份的吸引力,从而加速产业升级和区域发展。另外,高效的能源利用使得政府鼓励并支持发展绿色产业。
最后,能源综合效率的提高不仅有助于提高物流效率和降低运输成本,还能通过促进跨境贸易和物流发展,强化丝绸之路经济带的交通枢纽优势。
1 研究方法与数据来源
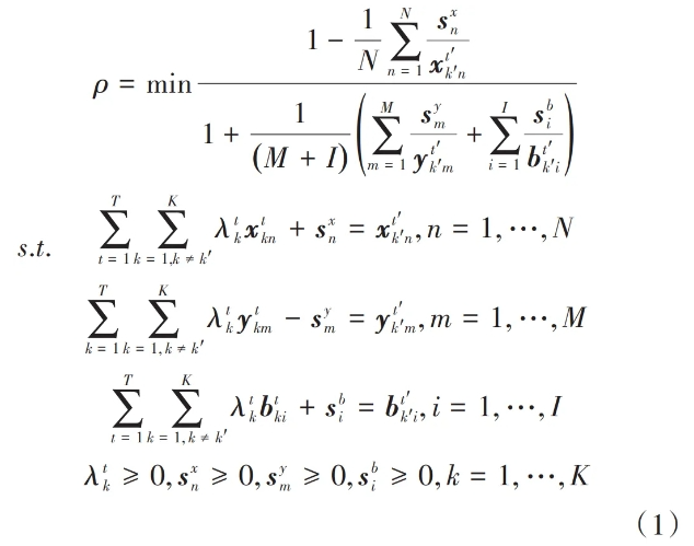
1.1超效率SBM模型
Tone构建了超效率SBM模型,用于测量相关的效率问题。具体公式如下


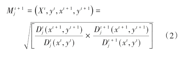
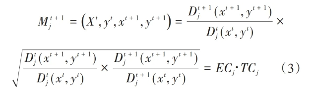
1.2Malmquist指数
将丝路沿线各省份作为决策单元(DMU),采用Malmquist指数测算能源综合效率,并将其分解为2类指数,分别是技术进步指数和技术效率变动率指数,以便更好地分析各省份能源综合效率的主要影响因素。



在规模报酬不变(CRS)的基础上,Ray&Desli(1997)将CRS模型中的M指数分解为纯技术效率变动(PEC)、规模效率变动(SCH)和纯技术变动(PTC),分解步骤如下:


1.3地理探测器模型
本文将借助地理探测器,探索影响能源综合效率的主要因素,并分析2种因素交叉时对能源效率的影响,具体探测模型如下


1.4指标选取与来源
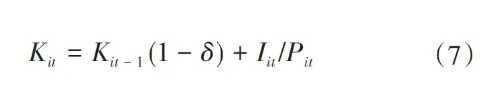
能源的发展与经济、社会和环境密切相关,在实现经济系统、社会系统和自然系统共生性与多元化目标的前提下,本研究建立理论框架(图1),构建丝绸之路经济带能源综合效率的评价指标体系(表1)。以2000年为基期对资本的指标资本存量进行估算,计算公式为

式中,Iit为i地区第t期的固定资产总额,Pit表示i省市第t年的固定资产投资价格指数,δ为折旧率。

图1 能源综合效率理论框架

2 丝绸之路经济带能源效率的测算及变化
2.1基于超效率SBM模型的全要素能源效率测算
以2006—2019年作为考察时间段,以丝绸之路经济带沿线9个省份的面板数据为依据,测算这些省份的能源综合效率,用折线图反映出丝绸之路经济带能源综合效率水平的总体变化情况,得到图2。

图2 2006—2019年丝绸之路经济带能源综合效率值变化情况
如图2所示,丝绸之路经济带沿线省份在2006—2019年间,其沿线9省份的能源效率整体呈上升趋势,其中2006—2009年的能源综合效率值处于下降趋势。然而,在2009年第一季度触底后,我国采取了较为有效的刺激性经济政策,情况逐渐好转,对能源生产和需求的增长产生了积极的影响,丝绸之路经济带沿线省份的能源综合效率也随着经济的好转不断提升,呈现出“V”字形的运行趋势。
如表2所示,从整体上来看,2006—2019年丝绸之路经济带的平均能源综合效率不断增长,能源利用率不断提升。从单个省份来看,重庆市的能源综合效率在2006—2019年间一直处于较高水平,且能源综合效率的平均值和平均增长率都位居首位。青海和广西略低于重庆,虽然增长率为负,但是总体效率值较高。甘肃、新疆和云南的能源综合效率呈平稳上升趋势,但是增长速度缓慢;相比之下,宁夏和四川的年均增长率较高;而陕西的能源综合效率一直处于较低的水平,且年均增长率为负。

2.2空间分异特征
对于能源综合效率的空间分布,综合来看,丝绸之路经济带沿线省份能源综合效率的在2006—2019年间整体上得到提升。
从省域视角来看,各省市之间空间差异较大。丝路沿线省份拥有不同的自然资源,产业结构不同,这种差异会因为能源需求和效率的不同进而使能源综合效率存在省域差异。
从时间维度来看,低效率省市的数量在减少,高效率的省市数量在增多。与此同时,也有少数省份的能源综合效率常年处于较为稳定的状态,但变化不大。

图3 丝绸之路经济带沿线省份能源综合效率空间分布格局
本图基于自然资源部标准地图服务网站下载的审图号为GS(2020)4619号的标准地图制作,地图无修改

2.3基于Malmquist指数的能源综合效率
为深入探讨丝路沿线省份的能源综合效率的内在原因,分别以年、省进行分解。将测算结果进行整理分析,具体结果见表4和表5。
由表4看出,在2006—2019年期间,各省的能源综合效率变幅度不是很大。各省份的能源综合效率总体上逐年升高,达到了能源效率的前沿面;技术生产前沿面在期间往前移动。从表4可以看出,年均增长率并不是很高。将技术效率分解为纯技术效率和规模变动效率,规模效率上升速度大于纯技术效率上升速度。

由表5丝路沿线省份的Malmquist指数及分解结果可以得出,丝路沿线省份在2006—2019年间的能源综合效率是呈增长趋势的。陕西、重庆、四川、广西、甘肃、云南和新疆这些省份的技术前沿面和能源技术存在着较大进步;而广西、青海和陕西的技术效率存在不同趋势的降低,说明技术效率的可提升空间很大。

综合来看,技术进步对能源综合效率的贡献最大。从结果上来看,对技术效率起最大促进作用的是纯技术效率,但是技术效率对能源综合效率起着较小的推动作用。丝绸之路经济带的现有规模化水平有待进一步提高,规模体系仍需进一步完善。
3 丝绸之路经济带能源综合效率的影响因素
3.1指标选取
在满足数据的可得性、可比性和可量化下,选取政府干预(x1)、能源结构(x2)、产业结构(x3)、城市化(x4)、互联网普及率(x5)、交通可达性(x6)和环境规制(x7)作为影响因素,下一步将对这些因素进行分析(表6)。

3.2能源综合效率影响因素分析
借助Arcgis10.7软件对上述7个影响因素运用自然断裂点的方法进行离散化处理,研究对比年度丝绸之路经济带能源综合效率探测因素结果(表7)。

2006年丝绸之路经济带沿线省份能源综合效率的主要影响因素因子均通过了1%的显著性水平,说明对能源综合效率的解释能力较强。其中,政府干预成为第一大影响因素。
2019年第一大影响因素已演变为能源结构,这一演变反映了地区经济的不同阶段和发展重点。随着时间的推移,国际社会对环境问题的关注以及清洁技术的进步推动了清洁能源的应用,使能源结构成为影响能源效率的主要因素。这一演变强调了地区经济发展的新方向,即更加注重环境可持续性和能源安全性。
3.3影响因素交互作用
本文通过地理探测器分析2019年影响能源综合效率不同因素xm之间的交互作用,即评估解释变量x1和解释变量x2共同作用时对被解释变量y的解释能力,判断依据如表8所示。

根据表9,可以得出如下结论。
丝绸之路经济带沿线省份的能源综合效率并非受到单一因素的影响,而是受到政府干预、能源结构和产业结构等多维度因素的协同影响。
能源结构与其他因素的交叉作用突出,主要由于能源结构涉及能源的类型、运输成本和环境,与其他因素的交叉可以显著改变资源配置和生产方式,进而深刻影响能源综合效率。

4 结论
以2006—2019年为研究时段,以丝绸之路沿线各省份为研究对象,基于超效率SBM模型构建能源综合效率评价体系,并测度了其能源综合效率值,在此基础上运用地理探测器模型探测其影响因素,主要结论如下。
2006—2019年,丝绸之路经济带能源综合效率总体呈先下降后上升的阶段特征,效率整体呈上升趋势。
单影响因素影响显著,其中能源结构和产业结构作用呈现上升趋势,政府干预、城市化、互联网普及率、交通可达性和环境规制呈下降趋势。
双因素交互作用大于单因素作用,其中能源结构与其他因素结合、交通可达性与其他因素结合是丝绸之路经济带能源综合效率最主要的影响组合。
作者简介:马远,新疆财经大学,教授,研究方向为区域经济学;张同蕾(通信作者),新疆财经大学,博士研究生,研究方向为区域经济学。