新型镍氧超导体的理论研究
发布时间: 2024-08-15
高压下双层镍氧超导体的发现引发国际上广泛的关注,理论研究发挥很大的作用。本文对相关理论进行了分析。目前,理论计算表明La3Ni2O7中镍的两个eg轨道对超导的产生起到关键作用,同时氧的p轨道也出现在费米面上,相应的多轨道模型已经提出。各种计算表明新型镍氧超导体具有s±波的特性,对其进行掺杂或加压可以改变超导配对特性。基于强关联相互作用的模型,已经能够较好地解释实验观测现象。顶点氧空位的存在对于超导的发生会有明显的影响。三层镍氧超导体的发现进一步丰富了镍氧超导体的家族,目前其电子能带结构、多轨道模型、超导配对对称性等都有理论探究。
2023年5月,中山大学团队与合作者报道双层镍氧化物La3Ni2O7在14GPa压力下出现了80K(开尔文)的高温超导电性,并得到相关实验的证实,这是继铜氧化物高温超导体之后第二类进入液氮温区的氧化物超导体,引发广泛关注。如此高的转变温度预示着La3Ni2O7很可能是非常规超导体,其超导机理可能源自电子关联效应,但如何进一步理解这一微观机理,压力在其中扮演什么作用,以及其与铜氧超导体系、铁基超导体系的联系,则是理论工作者迫切关注的问题。将从其基本晶格结构入手,理解其相应的电子特性。
1 La3Ni2O7晶格结构与电子特性

图1 La3Ni2O7中Ni原子的d轨道电子占据示意
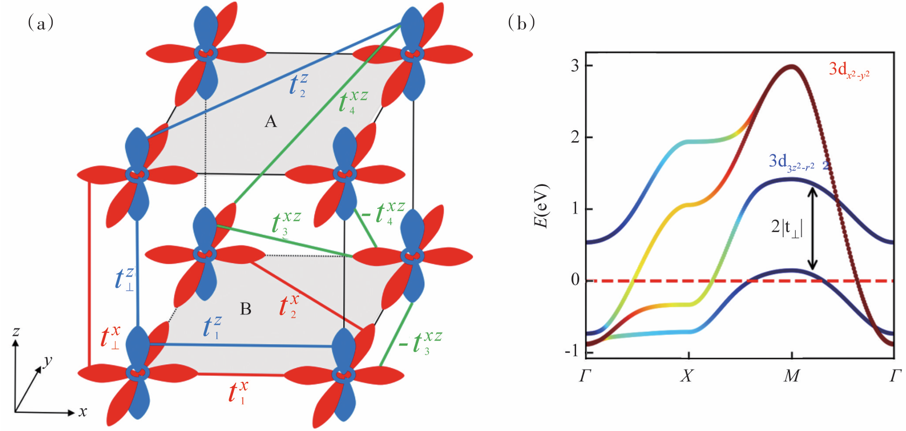
2 La3Ni2O7双层两轨道模型与超导配对

图2 La3Ni2O7双层两轨道格子示意(a);双层两轨道模型计算的La3Ni2O7能带(b)

图3 不同掺杂下La3Ni2O7的费米面
3 电荷转移特性
基于密度泛函理论的能带,将这一体系投影到一个11轨道模型,这一模型除了原先的4个Ni-eg轨道外,还包含面内氧的px,py与层间顶点氧的p轨道,并同样很好地符合了费米面附近的能谱特征。通过这一模型,看到
与顶点
轨道之间,以及面内
与px或py之间均存在显著杂化。格点能(site energy)的计算表明La3Ni2O7的这些轨道具有较小的电荷转移能,并介于铜氧超导体和无限层镍氧超导体RNiO2之间。基于11轨道模型,通过团簇动力学平均场理论,同时考虑八格点团簇方案和近邻
与
的自能,可以发现这一体系会形成两类自旋单态,其中一类对应于类铜氧超导的张-莱斯单态,另一类对应于层间
的反铁磁关联,并具有显著的窄带特性。进一步的掺杂计算表明,从一个半满的3d8出发,引入的空穴会主要集中在面内的px/py轨道,然后是
轨道,这正是电荷转移特性,而集中在层间pz以及
轨道的比例则远小于前者。这些计算均表明氧轨道在这一体系是十分重要的。过往的实验表明,即使是微弱的氧缺陷的引入,都会明显抑制电子跃迁使体系形成弱绝缘相。对于La3Ni2O7,Yang等和Liu等基于无规相的理论研究表明,顶点氧缺陷会使其磁临界相互作用降低而更容易形成局域的反铁磁矩,进而抑制超导配对。一个极端的情况是,当顶点氧全部被移除后,系统会变成La3Ni2O6的结构,导致超导相完全消失。
4 压力效应、自旋-电荷密度波和元素替代
压力作为诱发这一体系形成超导的先决条件,一直备受理论研究的关注。目前理论和实验研究表明,压力的作用使得晶格结构发生一定形变,而晶格结构的形变进一步导致
轨道抬升至费米面。目前认为,正是这一轨道抬升为超导配对提供充足的电子,因而保证超导的产生。具体地,La3Ni2O7在压力下空间群由Amam转变为I4/mmm相,同时c轴方向Ni-O-Ni键由168°转变为180°,其相图如图4。压力的另一个关键影响还体现在密度波序上。实验上的电导率、比热测量普遍表明La3Ni2O7体系在常压下存在密度波序,且很大可能是自旋密度波序(SDW)与电荷密度波序(CDW)的共存相,其特征温度为110~150K。并且随着外压的引入,这类密度波被逐渐抑制并最终形成超导相。这一现象似乎预示着这些密度波源于低压下结构弛豫,而非单纯的费米面嵌套过程,因为低压与高压的费米面轮廓仅有较小差异,并不足以显著改变某一嵌套波矢。最近的共振非弹性X光散射(RIXS)揭示一个(π/2,π/2)的自旋序,其对应于一个双条纹型(double stripe)的反铁磁结构。值得注意的是,这种磁结构与La3/2Sr1/2NiO4体系中的类似。如何理解这样一个磁结构,仍有待于进一步的理论研究。关于压力在动力学上是如何诱使相应的晶格结构与电子特性转变,在下节中有进一步阐述。

图4 La3Ni2O7单晶在常压至104GPa压力范围内的超导相图
除了元素La,可以将其替换为镧系的别的稀土元素,从而构成双层的R3Ni2O7。第一性原理计算表明,从La到Lu,晶格参数和原胞体积逐渐下降,导致新的材料结构的有效电子关联效应减弱,超导转变温度Tc预期下降,La3Ni2O7可能已是最佳的镍基高温超导材料。
理论上也有考虑将La替换为锕系元素(锕、铽等),或者将La-O面替换为Ba-F和Sr-F面,它们具有与La3Ni2O7高压相类似的电子能带结构,从而有可能在较低的压力或者常压下实现超导电。
5 三层结构的La3Ni2O7体系
2023年下半年,南京大学、复旦大学、上海科技大学等单位研究团队报道三层镍氧超导体材料的加压超导转变La4Ni3O10,其转变温度为20~30K。由于其与双层同属于RP型结构,因而具有极其重要的意义。实验和计算都表明La4Ni3O10材料在压力下同样经历结构相变,从低压的单斜P21/a相转变为高压的四方I4/mmm相。镍的
轨道能带在费米面附近具有3个分支:成键态、非键态和反键态。在高压下,镍的成键态穿过费米面,并具有平带的特征,对超导的发生具有关键的作用。第一性原理计算表明,内层镍氧面和外层镍氧面具有不同的电子填充数,甚至具有磁序。在此基础上,数个团队提出基于镍的三层两轨道模型(6轨道模型),陈翠群等进一步提出包含氧的p轨道的16轨道模型,其能带如图5所示。目前理论和计算都倾向于认为,La4Ni3O10同样具有扩展s波的超导配对特性。由于三层镍氧超导体具有更复杂的电子能带和层间的超导配对阻挫效应,其超导转变温度比双层镍氧超导体显得更低。

图5 La4Ni3O10的三层双轨道格子示意(a);基于三层双轨道模型计算的La4Ni3O10费米面(b)
6 展望
新型镍氧化物超导体系的发现无疑开辟了高温超导研究领域的一个全新平台,目前人们仍致力于进一步理解其超导机理与强关联特性,这将有助于寻求降低超导转变所需压力的方法,乃至实现常压超导。同时,这些理论探索也密切依赖于实验对其进一步的物性表征。在这些方面,中国研究人员无疑作出了杰出贡献并走在了最前沿。
作者简介:姚道新,中山大学物理学院,广东省磁电物性分析与器件重点实验室,广东省磁电物性基础学科研究中心,教授,研究方向为关联电子体系、高温超导、量子磁性、量子蒙特卡罗、拓扑物质等。