科研进展 | 细菌流场诱导的平板间长程吸引力
发布时间: 2023-10-27
近期,我院周昕研究员团队宁鲁慧博士等人与合作团队在《物理评论快报》(Physical Review Letters)上发表了题为 “Hydrodynamics-Induced Long-Range Attraction between Plates in Bacterial Suspensions”的最新研究工作。该论文被选为编辑推荐文章(Editors’ Suggestion),并被Physics报道(Featured in Physics)。
粒子之间的相互作用对复杂流体的稳定性、相行为和流变性的影响至关重要。近年来,粒子间有效相互作用的研究已推广到由细菌和微型马达等组成的活性物质中。与平衡态系统中相比,活性浴中粒子间的相互作用显著不同,表现出如振荡、长程、甚至约束依赖的性质。但是先前的研究工作均未考虑系统中普遍存在的流体力学相互作用的影响,因此,一个有趣的问题是:流体力学相互作用如何影响活性流体中惰性粒子间的有效相互作用?
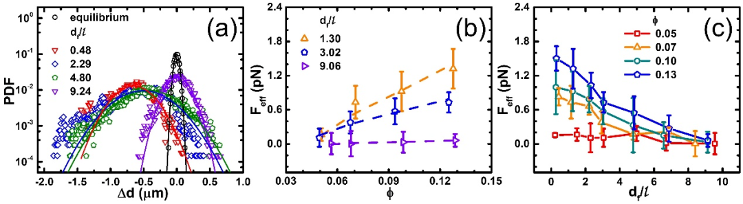
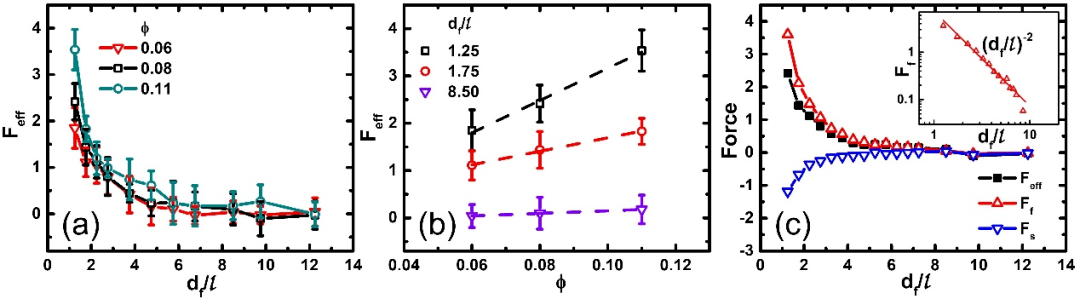
研究团队通过光镊实验和介观流体力学模拟研究了在大肠杆菌溶液中,板状粒子间的有效相互作用,如图1所示,为实验和模拟系统图。在实验和模拟中发现,两板间存在长程的有效吸引力,此吸引力与系统中细菌浓度呈正比,随着板间距离的增大而减小(图2和图3)。并确认了板间长程吸引力是由细菌流场引起的,同时还发现细菌流场贡献的板间吸引力与板间距离呈平方反比关系,这一幂律关系得到了理论的证实。该研究强调了在活性物质中,流体力学相互作用对惰性粒子间有效相互作用的重要影响,并阐明了其背后的物理机制。
图1. 实验(a)和模拟(b)-(c)中,在大肠杆菌溶液中固定的两平行板状粒子
图2. 实验结果:两板间有效吸引力分别与大肠杆菌浓度φ和板间距离df/l之间的关系。
图3. 模拟结果。板间有效力与板间距离和细菌浓度之间的关系。其中细菌流场贡献吸引力,细菌碰撞贡献排斥力。
该论文的共同第一作者为国科温州研究院的博士后宁鲁慧和娄辛,通讯作者为中国科学院物理研究所的彭毅研究员和杨明成研究员,国科温州研究院周昕研究员、中国科学院物理研究所陈科研究员、中国科学院理论物理所孟凡龙研究员等对该研究均有贡献。该论文得到了国家自然科学基金委(12074406, T2221001, 12274448, T2325027, 12304245),中国科学院战略性先导科技专项(XDB33000000),以及中国博士后科学基金(2022M723116)的支持。
原文链接
/PhysRevLett.131.158301
文章信息
Luhui Ning, Xin Lou, Qili Ma, Yaochen Yang, Nan Luo, Ke Chen, Fanlong Meng, Xin Zhou, Mingcheng Yang, and Yi Peng, Phys. Rev. Lett. 131, 158301 (2023).
来源 | 科技处

Copyright © 2022 中国科学技术协会 版权所有 | 京ICP备16016202号-20
Copyright © 2022 中国科学技术协会 版权所有 | 京ICP备16016202号-20