新发现证明SNS协议可有效抵御光源强度涨落
发布时间: 2023-04-26
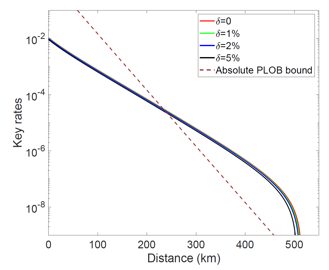
25日,科技日报记者从济南量子技术研究院了解到,该院姜聪副研究员与清华大学王向斌教授等人合作,证明了SNS协议在有光源强度涨落时的安全性,并给出了成码率公式。数值模拟结果表明,每1%的强度波动会导致4%的成码率下降,SNS协议的成码率对光源涨落不敏感。相关研究成果发表于《国家科学评论》期刊。

不同强度涨落幅度下SNS协议的成码率对比。济南量子技术研究院供图
SNS协议即王向斌于2018年提出的“发或不发双场量子密钥分发协议”,其在较高通道噪声下仍有较好的成码表现,之后基于SNS协议,王向斌团队又提出系列改进方法,大幅度提高了协议成码率和成码距离。SNS协议已被广泛应用于国内外实验小组的多个远距离QKD实验,包括最远距离现场光纤(511km)QKD实验和多个更远距离的实验室光纤QKD实验等。采用不可信第三方作为测量方,SNS协议可以完全免疫针对探测端的攻击,因此SNS协议光源端的实际安全性研究显得尤为重要。
在通常QKD协议的参数分析中,总是假定光源强度是稳定的。但实际上,由于光源设备的不完美性,实际光源发射的脉冲强度和预设强度之间总是存在偏差。这种偏差有时候还是非随机的,比如,光源强度可能会随着环境温度变化而缓慢漂移。非随机的强度涨落会使窃听变得更加容易。实际量子密钥分发一个极为重要的问题是:如何保证在光源强度涨落情况下的安全性?
科研人员通过(虚拟)衰减映射和拓展标记模型的方法,得到了有强度涨落时SNS协议的安全成码率计算公式。该结论仅依赖于光源强度涨落上下界值,无须知道具体的强度涨落模型,甚至允许由窃听者控制具体涨落,从而确保在任意涨落模型下的安全性。数值模拟结果表明,随着强度波动范围的增加,密钥率和最远距离略有下降。绝对PLOB界是针对具有完美检测探测器的成码率线性上界。结果表明,SNS协议在强度波动为5%时的成码率仍然可以超过绝对PLOB界限,每1%的强度波动会导致4%的成码率下降,这表明SNS协议对光源涨落具有鲁棒性。该研究成果进一步提高了SNS协议的现实安全性,促进了该协议的实用化程度。
(来源: 科技日报 作者: 王延斌)
特别声明:本文转载仅仅是出于传播信息的需要,并不意味着代表本网站观点或证实其内容的真实性;如其他媒体、网站或个人从本网站转载使用,须保留本网站注明的“来源”,并自负版权等法律责任;作者如果不希望被转载或者联系转载稿费等事宜,请与我们接洽。

Copyright © 2022 中国科学技术协会 版权所有 | 京ICP备16016202号-20
Copyright © 2022 中国科学技术协会 版权所有 | 京ICP备16016202号-20