古人的算数——盈不足术
发布时间: 2021-12-29
什么是盈不足术,它是怎么解决问题的呢?
盈不足术中 “盈”就是“多”的意思,“不足”就是“少”的意思,因此盈不足术是在解决“盈亏类”问题。比如,在《九章算术》中就有一道非常著名的题目,今天我们就拿它来给大家详细介绍下盈不足术是怎么解决问题的。
题目是这样的:“今有共买物,人出八,盈三;人出七,不足四,问人数、物价各几何?”用我们现在的话就是说:“有一些人共同买一个物品,每人出8元,还盈余3元,每日人出7元,则还差4元。请问共有多少人?这个物品的价格是多少?”
这个题如果放到现在来说,我们可以应用方程组求解,假设共有x个人,物品的价格为y元,则8x-y=3、y-7x=4,因此我们非常容易就能得到答案:x=7, y=53。
但对于不会方程组的古人来说,他们是怎么靠盈不足术解决的呢?
第一,我们需要先将上题的表述抽象化为:有一些人共同买一个物品,每人出x1元,还盈余y1元;每人出x2元,则还差y2元。请问共有多少人?这个物品的价格是多少?
第二将,x1、 y1、 x2、 y2排成如下矩阵:

这个矩阵的表述就是,如果只买一件的话,每人出x1元,还盈余y1元;每人出x2元,则还差y2元。
第三,我们要找到当买1件物品时一种“不盈不亏”的出钱方法。因此我们可以将上面矩阵的第一列都乘以y2,第二列都乘以y1 。

根据上面的矩阵我们可以知道,第一次交易盈余y1y2元;第二次交易还差y1y2元。如果将两次交易相加,买y1+y2个物品,则盈余、不足抵消,即“不盈不亏”。也就是,买1件物品时,每人应出钱:(x1y1+x2y2)/(y1+y2)元。
第四,我们开始计算人数,方法就是用两次交易总金额的差,除以每人出钱的差,即(y1 +y2)/ (x1-x2)。于是,我们的物价也可以得出了,就是用人数乘以每人应出钱数,化简后就是(x1y1+x2y2)/( x1-x2)。
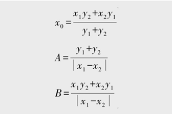
综上所述,我们可以知道盈不足术的三个公式,以后只要遇到盈亏问题,人们只要套用公式即可,就不需要一步步推算啦。假设x0表示每人实际应出钱数, A表示人数, B表示物价,则公式如下。

最后,回到问题的最开始,你知道怎么利用盈余不足术的公式来计算了吗?

本文由山东省莱州市文峰中学二级教师李奕樊进行科学性把关。

科普中国中央厨房
新华网科普事业部
科普中国-科学原理一点通
联合出品
更多精彩内容,请下载科普中国客户端。
本作品为“科普中国-科学原理一点通”原创,转载时务请注明出处。

Copyright © 2022 中国科学技术协会 版权所有 | 京ICP备16016202号-20
Copyright © 2022 中国科学技术协会 版权所有 | 京ICP备16016202号-20