普朗克如何得出黑体辐射定律?
发布时间: 2021-09-15
德国物理学家普朗克在解释黑体辐射曲线而得出普朗克定律,从此物理学进入了量子时代,因此普朗克也被公认为“量子理论之父”,尽管他本人在当时仍然是经典的拥护者。作为20世纪最伟大的物理学家之一,普朗克拥有杰出的学术成就,不仅是奠定了量子论的基础,更是热力学领域大师,对“熵”等概念的理解超越所处时代。但同样作为一个爱国者,他的一生是复杂的,在纳粹当政时,他坚定地支持了爱因斯坦,资助受迫害的犹太科学家;但也曾在一战时期签下德国为侵占比利时辩护的《文明宣言》。而在漫长的一生中,普朗克更是遭遇过诸多不幸。对于一位人类文明史上的重要人物,普朗克的研究及其本人需要学习和解读。《普朗克传:身份危机与道德困境》正是这样一本著作,本文仅节选于普朗克职业生涯的一个短暂的节点,只是众所周知现代物理学发展的里程碑。更多的内容参见原书。

本文经授权节选自《普朗克传:身份危机与道德困境》(新星出版社)第十章,内容有删减,标题与文内小标为编辑所加。
作者:布兰登·R.布朗(Brandon R. Brown,旧金山大学物理学教授)
翻译:尹晓冬 张烁
1944年7月——庆典
当普朗克术后恢复健康时,盟军于6月5日攻占了罗马,并于6日登陆诺曼底海滩。尽管纳粹方面仍在大肆宣传,但是多数德国人都能看到战争正一步步地走向终结。
7月初,马克斯·普朗克再次穿上他曾经常穿的燕尾服,前往柏林参加一个科学庆典。普鲁士科学院决定在一个暂时摆脱周遭黑暗的夜晚,举行一次周年庆祝活动。帝国顶级物理学家、原子弹研究项目的负责人海森堡组织了这次活动。海森堡前往马克斯·普朗克下榻的酒店,打算载普朗克等人前往宴会厅,但是眼前破败的景象不复从前,他们两人竟然都无法辨认出柏林的街道。在几次问路求助后,一行人才找到正确的地点,但是他们却以为自己再次迷路了。海森堡回忆道:“我们最后把车停在一堆瓦砾前,混凝土块上横七竖八地插着弯弯曲曲的钢筋。”又一番深入打探后,他们在尘土飞扬、残砖碎瓦里看到了一条之字形小径,在帝国的废墟中他们攀上爬下,才终于到了一扇敞开的大门前。走入门中,幸存下来的宴会厅生气勃勃,如记忆里一般完好无损。当普朗克踏入宴会厅的时候,所有人都安静下来了。海森堡说:“每个人都充满敬意地向普朗克致意,你能清楚地看到涌向这个人的敬爱是那样多。”“而且,你也能感受到他本人也十分高兴再次看到这些熟悉的面孔。宴会厅中响起弦乐四重奏,那一两个小时里仿佛重新回到了曾经学术鼎盛、文化悠久的柏林。在那儿,普朗克是理所当然的领袖人物。”一大群朋友和留下来的科学家欢迎了这位尊贵的客人,并为枢密顾问、教授普朗克博士在普鲁士科学院就职五十周年而共同举杯。在主桌上,马克斯格外开心地发现他的座位就在埃尔温旁边。
为什么在五十年后,普朗克会成为科学界如此广为人知的名字?他还是个年轻学生时虽然几乎全能,却也没有什么格外突出的才能,他又是怎样获得如今这般影响力的呢?

“原子论”的支持者
尽管普朗克有着非凡的头脑,但终究难以称他为天才。后来他自评道:“不幸的是,我没有被赋予对智力刺激做出迅速反应的能力。”在学生时代,普朗克从来不是班级里名列前茅的——相反,他的老师注意到了他在人际交往方面的能力。作为科学家,普朗克具备的是非同异常的专注力和无与伦比的思维严谨性。他在信仰的熔炉里不断锻造着自己的专注力。他从骨子里相信,自然是通过某种逻辑系统运作的,他不畏困难、不计后果地为揭示这种系统而献身。
普朗克的急剧转变发生在1894年,是年他从一位坚定却谈不上杰出的物理学家变成被庄严载入史册的马克斯·普朗克。他之前的教授与朋友亥姆霍兹提名普朗克成为柏林科学院的正式成员。亥姆霍兹称时年36岁的马克斯“为物理学做出了重大的贡献”。亥姆霍兹写道:“最为瞩目的是,他在物理化学领域取得了成就,没有像化学家那样可悲地依赖着原子的概念。”普朗克使用纯热力学,假定只有连续物质(没有颗粒或原子),并以纸笔计算来探讨纯粹的热力学——从相变到流体导电行为的一切。直到1894年,他的整个职业生涯都在热力学领域的研究上,尤其对热力学第二定律和熵格外执着。
事实上,化学方面的工作与思考改变了马克斯·普朗克的思想。不同于多数物理学家,他安静并有条不紊地接受了“原子论”。在他的多次重要学术思想转变中,支持原子的存在是首次重要转变,普朗克的灵活性广受赞誉,成为他最著名的特征之一。太多的学者深深植根于个人最爱的领域和信念里,并沉溺其中,而普朗克却能够追逐着阳光与最肥沃的土壤,不断地把自己移植到更加明智的位置上。
1882年,这位年轻的物理学家仍持有一个普遍观点。“原子论,”他说,“最终将不得不被抛弃,而物质连续性假说将得到支持。”同年,他完成了论文《汽化、熔化与升华》(Vaporization, Melting and Sublimation),指出“热力学理论与有限原子假说不相容”。这种说法很受主流派的欢迎。尽管21世纪时人们不会对“连续物质”的概念信以为真,但在之前的几百年里,它都通过了“取样测试”:多数科学家认为,只要有足够锋利、足够小的刀,就可以把一个微小的物体无限切割成更小的碎片。这种假说的一大优势在于数学,因为牛顿的微积分有着至高无上的地位,尤其在用于描述连续物质时。但在1884年,瑞典化学家阿伦尼乌斯提出了用特殊方法描述电性能的突破性主张。他认为水中的原子能够发生电离,并因此带电。同年,雅各布斯·范特霍夫发表的《化学动力学研究》(Studies in Chemical Dynamics)同样基于原子假设。因此,到1887年时,苦苦挣扎于这类课题的普朗克改变了自己的观点。1890年,他给一位同事写信说:“物理学家们别无选择:如果他们想检验特定的问题,那么他们就必须接受原子与分子作为前提条件。”
1894年,马克斯已经是正教授。晋升进入柏林科学院时,他的感觉一定好像每个夏天远足时登上山顶那样,他终于被体制承认了。这时,他的名声即使还称不上伟大,但也足以称得上可靠。五年来,他和家人已经在柏林稳定下来。他和玛丽迎来了两人的最后一个孩子埃尔温的周岁生日。柏林这座城市正逐渐被电灯的亮光与电话铃声所充斥。观众惊奇地看着奥托马尔·安许茨(Ottomar Anschütz)的无声电影播放着运动员和骑马的士兵的影像。柏林的富裕阶层享受着新科技,还期盼着更多新玩意儿。科学讲堂上前所未有地坐满了学生。
与此同时,德国物理学经历了突然的领导空缺。到1894年年底时,大名鼎鼎的亥姆霍兹和正当崛起的天才人物赫兹都已离世。
如前所述,马克斯·普朗克已做好迎接新挑战的准备。他现在正全心钻研着暗藏了宇宙真谛的黑体辐射问题,而放眼柏林,普朗克看到了世界顶尖专家正在收集黑体测量数据,只待一个理论来解释他们的结果。最重要的是,他发现了一个他自认为是物理学中最重要的问题:如何调和热力学与力学。前者是他的老本行,可以定义一个时间箭头。根据热力学第二定律,在熵逐渐增加的过程中,一个瞬间不可逆转地跟随在先前的瞬间之后。但是,新的“气体理论”——一种微观动力学,并不符合第二定律。麦克斯韦与玻尔兹曼的统计方法是与现实的赌注——把单个粒子放在跳动的、碰撞的、旋转的气体分子的不同配置组态下。在这里,物理学家可以讨论数以亿计的微小粒子的平均量值,或者说是粒子分布的可能情况。在气体理论下,与其说是给系统拍下快照,并由此准确记录它的不可逆转地进入下一个必然过程的情况,毋宁说是这个纷杂混乱的系统从A态到达B态的概率,但同时也有到达C态或D态的可能。而有时候,从A态到C态或D态会打破第二定律。1895年,玻尔兹曼写道:“发生这种情况的概率在数学上不为0,只是概率极小。”另一方面,马克斯对克劳修斯的观点则十分忠诚。“那时候,我以为熵增原理是毫无例外地有效的,就像能量守恒原理一样,”他在晚年时写道,“而于玻尔兹曼来说,这一原理只是一个概率法则,都有例外情形。”
在专业方面,马克斯与情绪化的玻尔兹曼的关系只是勉强维系而已。19世纪90年代初期,尽管他转而支持原子论,但他仍然认为玻尔兹曼的许多工作成果“有过誉之嫌”。从本质上讲,他认为气体理论看起来十分令人印象深刻,但到那时为止也都不过是一阵喧哗与骚动罢了。敏感善变的玻尔兹曼感到自己被冒犯了,而出乎马克斯的意料,他在随后的一次会议上公开质疑了普朗克。
抛开上述一些尴尬的互动不谈,普朗克现在也被这个问题吸引住了。他如何才能使自己钟爱的热力学第二定律与日益成功、愈发合理的统计方法相协调呢?一方面,即使继续深入这一困境的人寥寥可数,马克斯仍安于这种相对默默无闻的状态。“这是命运的古怪玩笑,”他后来写道,“我的同事们对这个课题缺乏兴趣……事实证明这成为我的福音……由于熵的概念的重要性还未得到充分理解,因此没人会注意到我所采用的方法,在这种情况下,我就能够悠然自得、认真彻底地去进行计算,而全然不必担心会有任何打扰或超过我的事情发生。”
黑体辐射曲线——热力学与新力学的完美战场
普朗克把自己的全部注意力都转移到了黑体辐射的神秘而普遍的曲线上,他将其视为热力学与新力学的完美战场。由于物体发出的光的亮度和颜色恰恰取决于温度,所以热力学将是关键。他还需要一些玻尔兹曼和麦克斯韦的新方法,黑体中的分子涉及某种统计学事实,它们的能量和振动情况不同,但却通过某种方式产生精确的发射光光谱。打个比方,若一个拥挤的体育馆里正进行着一场足球赛,如果我们想要完全了解体育场中的叫喊声,那么物理学家可以从构建球迷座位模型起步。他给出一个球迷的统计分布,那些球迷是站着还是坐着,尖叫还是鼓掌,还有不同的音量情况,如此这位物理学家便可以开始估计我们从一定距离外听到的声音情况了。在这个层面上讲,热辐射光谱仿佛在嘲笑着普朗克。为什么这个光谱(叫喊声)与黑体的材料(那座确切的体育馆、地点和人群规模)无关呢?还有,为什么这些物体发射光的谱线都恰好只有一种形状走势,而没有其他形状呢?对这种普遍性的着迷把他推向了热辐射研究。
当普朗克开始研究这个问题的时候,他第一次需要认真地直面光。如果在1894年有两样东西是普朗克觉得自己能够指望的,那就是热力学第二定律和刚刚被证实的光传播理论了。德高望重的赫兹(普朗克先后得到的两个职位,被优先考虑的都是赫兹)已经于1888年发表了他关于电磁波的证据,而普朗克也开始紧随其研究工作。“亲爱的同事,抱歉占用你的时间,我只有一个简短的问题,”普朗克于1890年夏天给赫兹写信道,“很高兴读到了你的文章《静止物体的电动力学》(Electrodynamics for stationary bodies)。”接着,普朗克询问赫兹是否写错了一个负号,还有公式8里是否有一处印刷错误。“我真心希望我不会花你太多时间。”普朗克以这种严谨苛刻的阅读方式而“臭名昭著”,也因此使他成为《物理学年鉴》的出色编辑。
他以自己一贯有条不紊的方法处理黑体辐射问题。最开始,与他年迈的老师基尔霍夫一样,他构建出一个内部掏空的物体——腔体。1860年,基尔霍夫出版了原创的有关热辐射检测的第一篇文章。他有一种难以置信的能力,能够吸收大量的信息并将之转化为透彻的、统一的总结,并把这种能力用在了物体的发射光辐射谱方面。他在自己的实验中注意到,物体吸收光与发射光的比率与材料本身无关;他创造了“黑体”一词(还有“灰体”一词,用以指代不甚完美的“黑体”),还宣称普适函数适用于热辐射。(基尔霍夫在很早的时候就提出了热辐射的普遍性特征,尽管没有充分且完整的证据支持这一观点,但时至今日这仍然是令人惊讶的。)
普朗克在计算中假定腔体是一个完美的球体,腔中完全真空,没有杂质,甚至没有一个气体分子,之后整体研究腔体内部的电磁波(光),以及电磁波(光)与腔体壁的相互作用。由于腔体壁的实际材料不再重要——即上面提到的,无论它是泥浆、巧克力,抑或是金属,其中的热辐射情况都完全相同——普朗克就采用了最常见的物质。他假定其内表面有一系列的“谐振子”。尽管以现代人的眼光,我们可能会不自觉地去解读普朗克谐振子的具体物理意义,但是普朗克本人很可能只是在为他的黑体理论寻求最简单的可能的构成要素。他引用了赫兹六年前的一篇论文,从赫兹的工作中借用了电子谐振子的概念。因此,虽然赫兹谐振子具有电的特性,但是普朗克可能并不在意其真实本质的问题。有趣的是,分子振动发出辐射的想法早些年就曾有人提过(麦克斯韦曾用英文提出),但普朗克可能之前没有看到。最终,普朗克与其他人推测,谐振子也许是电子,但是在工作甫一开始时,他并没有写出它们的具体物理意义。
普朗克的谐振子各自具有一个固有频率,这就意味着每个谐振子能够且仅能与各自对应的某一种色光作用。如果我们回到前述足球场的类比,普朗克便是假设每位球迷只能听见并发出一种音调。与物理学中的许多初始模型一样,这种假说对于腔体壁和对于足球迷来说都是现实的。普朗克的目的是要把抽象的电子谐振器先吸收光,再把光发射到空腔的过程建模。他以此为主题的第一次演讲是在普鲁士科学院进行的,题为《吸收与发射》(Absorption and Emission)。他希望自己计算出的最终辐射光谱能够与观测到的实验测量值相匹配的同时,还能证明光谱最大化了空腔的熵,从而证实并支持热力学第二定律。
来自玻尔兹曼的启发
在最开始的几年,他试图用经典、连续的技术手段来攻克这一难题。他最初的几篇黑体方面的论文建立了一个几乎没有什么复杂性的框架,但随后的论文则逐渐增加了模型的复杂性。他旨在表明,不论是什么样的光先充满腔体,谐振子的活动最终会顺从已经发现的黑体辐射规律。他想要揭露一种单一指向的物理学,从任意起点出发指向统一终点,这样他就能够解释任意物体是怎样产生同样的实验结果的。然而,自1897年年末起,有些疑虑开始萦绕在他的心头。
“任何由普朗克教授发现的单向性,”玻尔兹曼在一则毁灭性的批评中写道,“一定……源于他选择了单向的初始条件。”玻尔兹曼的观点是,普朗克尝试着揭示出一系列统一而必然的事件这件事本身就一点也不统一。玻尔兹曼正确地发觉普朗克的理论下暗藏着另外的理论支持,其理论本身还未达成平衡和一致。大自然显然可以在任何地方开始,并到达于同一终点。然而,普朗克的理论需要一个精心选择的出发点,否则就会全局倾覆。一个健全的理论不应该对所谓的初始条件敏感,而且每一个起点(A、B或者C)都应该指向Z点,也就是实验室中得出的黑体光谱。最初,普朗克对玻尔兹曼风趣又伤人的言论提出了反驳,一番唇枪舌剑后,普朗克在那一年的年底终于妥协。他不得不尝试一些新的东西。
普朗克了解并尊重玻尔兹曼的工作,尽管在评估后者的效用时,普朗克曾颇有挣扎。当玻尔兹曼接受概率演算并将其作为自己最喜欢的工具时,19世纪90年代的多数物理学家一定震惊不已,他们还认为它是深奥的、极端的,乃至令人困惑的。但是到了1898年,普朗克对玻尔兹曼观点的态度逐渐缓和。
那一年,普朗克采用了一种更加激进的统计学方法来解决热辐射问题,计算可能的共振频率(和相应色光)的整个光谱的平均值。他引入了“自然辐射”(natural radiation)的概念,把玻尔兹曼在其第一篇气体理论论文中提到的“分子无序”(molecular disorder)概念引入电磁学中。普朗克1899年的一篇论文宣布了彻底的投降,在这篇总结性文章中,他坦率地承认,玻尔兹曼和气体理论为理解神圣的熵和热力学第二定律提供了最佳路径。
与此同时,柏林的物理实验室里也出了些差错。几年来,黑体辐射在经验实证方面一直还算平静,无甚波澜。1896年,维恩(普朗克的朋友,后来二人一同在《物理学年鉴》做编辑)构建了一个符合所有黑体实验数据的公式。大多数物理学家接受了维恩的公式,即使不是作为福音般的真理,也把它当作了一种对事实的经验近似。然而在1899年,在较长波段(比如红外光)的测量新方法浮现出来,而测量结果却偏离了维恩的预测。炽热的空腔中发出的红外光强度超出预想,所以维恩公式显然不是大自然所采用的那个。新实验将研究深入到红外领域,1899年和1990年中,每隔几个月,普朗克位于柏林的办公桌上就会摆上最新的结果。普朗克开始思考一种新的经验拟合用以取代他朋友的公式。多年以来,他想要从头开始建立一个全新的理论,却屡受挫折。于是,他决定回溯前人的工作。如果他能够凭直觉得出正确的自然热辐射公式,那将为他探寻基本物理学的方向提供一个精确的指南针。
持续几周的动荡终于把他带到了突破的面前。1900年的秋季见证了两位德国“威廉”的离世。8月,在工人领袖威廉·李卜克内西去世后,超过10万名工人在柏林的街道举行了庄严的默哀游行活动,工人阶级自此出现。即使在皇帝谴责李卜克内西是德国公敌的情况下,这次被称为“沉默钢铁”(iron silence)的游行仍冷却了这座城市,且令当时巨大的阶级分化浮现出来。及至9月,另一位与马克斯关系密切的“威廉”也去世了,他就是马克斯的父亲,在慕尼黑去世。
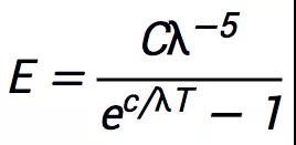
在慕尼黑料理完丧事以后,普朗克回到柏林继续他安排得满满的讲课。在他父亲刚刚去世的几周里,普朗克的头脑中顿悟闪现。这次灵感突现是发生在他回到柏林的办公室路上?是在一次讲课的时候?甚至是在他自慕尼黑回柏林的火车上?不论哪种情况,总之普朗克清晰地看到了大自然一直以来渴望揭示的数学形式。这种优雅的形式打动了他,他写出了一个新的公式,似乎可以避免维恩早先猜想中出现的问题。10月19日,马克斯在德国物理学会的例会上简要介绍了他的成果。他的发言不在会议安排之内,而是在最后的“讨论与评述”环节。他的口头评论仅仅占了两页多一点的篇幅。他承认:“我终于开始构造任意谐振子的熵的表达式了。”他随后给在场人员写下了自己的结果,他说:“就我现下所知,(这一公式)令人满意地符合目前已经发表的观测数据,是当前已有的最佳光谱公式。”该公示如下图所示:

该公式精确地给出了在温度T下黑体在波长λ处测得的辐射能量E(因此也给出了辐射强度)。大写的C和小写的c只是为了令公式符合测量数据而加上的常数。这类常数是由物理学使用数学工具拟合数据时所做的度量。普朗克知道,终有一日,自己必须给C和c真正赋值。
他的观众对此作何反应?据推测,只有一小部分真正对此感兴趣的群体(如实验家普林斯海姆、库尔鲍姆和鲁本斯)在他们的笔记本上记下了这个新公式。第二天一早,鲁本斯兴高采烈地出现在普朗克家门口,手里拿着几张从他实验室里测得的结果。他所有的测量,包括最新的红外测量值,全部符合普朗克的新曲线,宛如串在一根细线上的珠子。鲁本斯确信普朗克已经发现了大自然中热的规律。
其他同事则没有那么信服。维恩在远方听说了这次演讲,写信说他不想冒犯谁,但是新的公式无疑是个严重的错误。普朗克回复他说,自己确信他们二人可以解决分歧,而且维恩在该领域的功绩会在之后的日子里逐渐显现与提高,而不是消泯。他提议二人在圣诞假期见上一面。
量子还是经典?
与此同时,普朗克现在面临着一个价值百万德国马克的疑问:这个令人愉悦的公式从何而来?他后来写道,他的新公式是“仅凭一点幸运的直觉灵感带来的永恒定律”,“从阐明这条定律的那一天,我便开始致力于赋予它真正的物理意义”。他开始着手寻求一个方式,通过在物理学原理上的追根溯源来证明这个新的公式。他必须将自己的猜想转变为一个真正的理论观点。
“在我经过一生中最紧张的几个星期的工作后,黑暗渐退,一番之前未曾预见的景致开始出现。”普朗克认识到,自己若想在正确的道路上继续前行,就需要借助玻尔兹曼的统计方法。普朗克从玻尔兹曼一篇相对较早的论文——1877年的《热力学第二定律与概率论的联系》(On the Relation between the Second Law of Thermodynamics and the Theory of Probability)中,推出了关键的数学部分。在《热力学第二定律与概率论的联系》中,玻尔兹曼利用组合数学的方法,列举了气体分子群可能的结构。组合数学的方法即研究大量物质(气体分子、袜子、排球运动员及扑克牌,等等)一切排列组合的可能方式。组合数学是离散数学的一个分支,与普朗克的故事有着莫大的关系,都是研究单个、分离的物体,如分子、弹珠等。这类数学与从热腔中发出的连续光波没什么关系,真的吗?马克斯孤注一掷,认为只有组合数学能够引出他的新公式。
1900年12月,他提出了自己的新证据和新理论。从历史上看,物理学家认为这标志着量子论的诞生。据报道,他的听众对此不以为意,他们很难跟上普朗克的思路,穿过他那崭新的数学之林。为了得到这个“十月等式”,马克斯把谐振子的能量划分为相等的小份额:“无论如何,我们采取这种看法——并且这是整个计算中最重要的一点——认为(能量)E是由一些完全确定的、有限而又相等的部分组成。”一旦他把谐振子的能量当作一组袜子、卡片或分子这样分离的物体来处理,那就能用1877年玻尔兹曼的方法,在一条康庄大道上,向新的黑体公式进军。
但是,新的“关键一步”是激进的、彻彻底底的、翻天覆地的,这是第一次有人想要用如此坚韧不拔的方式对待神圣的能量。正如一些更加进步的物理学家提出物质(原子)与电(电荷)都是“块状的”,普朗克也主张存在类似的能量粒度(granularity)。1900年,他没有将其称作一个新的物理学类型——他甚至没有用到“量子”(quantum)一词。他后来说这历史性的一步是“纯粹是一个形式上的假设,我实际上并没有对它想得太多,只是想到,要不惜任何代价得出一个积极的成果来”。
普朗克认为自己已经成功地保留了经典物理学,并解决了黑体辐射的谜团。可以肯定他十分振奋,他能看到这个成功,但没有任何迹象表明他嗅到了他点燃的变革的火焰。在三十年内,量子物理学将会完全改写我们对于光和物质的认知,这样的新知大多出自爱因斯坦、尼尔斯·玻尔及海森堡等人的笔下。然而在那段时期,普朗克大多扮演着一个忧心忡忡的大家长角色,要所有人都慢下脚步,务必谨慎。
如今,我们知道普朗克的推导本身是有缺陷存在的,不是因为他假设了分立的能量,而是他对分立能量存在性的论述方面。没有路径是从经典物理学径直通向精确的黑体光谱的。年轻一辈的物理学家,如爱因斯坦和保罗·埃伦费斯特,率先怀疑并批判了普朗克的黑体数学,而当普朗克最后回到这个问题的时候,他换了一种新的推导方法。他在1911年至1913年之间发表了相关论文,称这种方法为“第二理论”。在这里,他仍旧希望避免新的量子观点渗入美丽而连续的光波中。
回顾看来,1900年将成为普朗克和新物理学的巅峰时期。后来,埃尔温回忆起一个深秋时节他们父子二人在花园散步。他说,父亲悄悄对7岁的儿子宣布了他的一个科学突破。马克斯称他最近的工作将成为物理学最伟大的发现。27在埃尔温的叙述中,普朗克不再是我们所熟悉的普朗克个性形象,也少了些谦逊:也许是埃尔温的遥远儿时记忆随时间流逝产生了模糊扭曲。但更可能是马克斯只许这样的浮华言辞流入自己儿子的耳朵里。即便如此,现存的信件里也没有什么自我吹嘘的词句。他的工作里,只有一项能够令他如此自信而兴奋。在推导新公式的过程中,普朗克阐释了两个基本常数:k和h。前者被称作玻尔兹曼常数,后者几乎立刻就被命名为普朗克常数。