南开大学团队在太赫兹声子极化激元领域取得重要研究进展
发布时间: 2021-08-25
上世纪50年代初,黄昆先生提出了著名的黄昆方程,揭示了横光学声子与光子相互耦合的物理本质,预言了声子极化激元这种全新元激发的存在。1965年,Hopfield等人在GaP晶体中首次探测到了这种元激发,证明了黄昆方程的正确性。实际上,声子极化激元作为一种元激发,不仅仅依赖于晶格中的热声子存在。当有外驱动力(如飞秒激光等)作用于晶格时,可以产生太赫兹频段的受激声子极化激元。这为声子极化激元的研究和利用、材料性质调控、太赫兹物理与技术、瞬态亚波长光学与光子学等研究提供了全新的思路。
多年来,声子极化激元在凝聚态物理、光学和材料科学中一直受到广泛关注。南开大学吴强、许京军教授团队经过十余年的努力,构建了太赫兹声子极化激元的理论、实验和应用研究的基本体系。
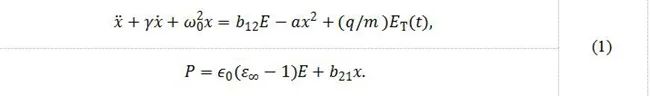
他们以黄昆方程为基础,考虑声子极化激元在非线性相互作用过程中的关键性作用,发展出了一组非线性黄昆方程:

他们新增了外场的受激驱动力和非线性回复力,使得新方程可以应用于受激的强场声子极化激元体系,并研究其非线性响应,预测了一系列全新的物理机制和效应。其中颇具代表性的一个预测是声子极化激元可以凭借其离域性,极大地增强材料在太赫兹频段的非线性极化率,实验验证了这一预测。声子极化激元体系中,太赫兹波段的非线性系数高于微波和可见光波几个数量级;并且能够借助声子极化激元的材料,其非线性系数都远远高于常见的其它材料。这一研究成果将线性的黄昆方程推广至非线性领域,并利用声子极化激元实现了太赫兹波的巨非线性效应。对太赫兹波非线性领域的发展、离子晶体材料性质的调控以及量子态的相干调控都具有重要意义,相关成果发表在Nature Communications上,共同第一作者为博士生卢瑶和张琦,通讯作者为吴强、陈志刚和许京军教授。
借助于太赫兹声子极化激元,该研究团队在铌酸锂晶片上构建了太赫兹波的片上集成系统,使太赫兹波的产生、传输、调控、探测等过程以及太赫兹波与物质或微结构的相互作用过程,在同一个铌酸锂芯片上完成,并实现了一定的功能性,促进了太赫兹集成技术的应用。
针对发展太赫兹片上集成平台这一目标,南开大学团队开发了一系列的理论、实验和应用技术。
在基础理论方面,除了非线性黄昆方程,南开大学团队还完成了各向异性亚波长平板波导(与麻省理工学院合作)、亚波长矩形波导中电磁波传输的方程、数值模拟、实验验证等工作,并指出了Marcatili近似方法在此条件下已经不再适用,取而代之的是有效折射率近似方法;展示了亚波长平板波导和矩形波导之间的耦合过程,指出了亚波长波导耦合过程中存在一个反直觉的模式转换过程。通过设计初始相位锁定的同步移动太赫兹源,借助亚波长波导超强的结构色散,实现了一阶色散的抵消。这一结果成为继二阶色散消除产生时间孤子后,首次对于光学脉冲传输相位进行锁定的“类孤子传输”态,如图1所示。研究结果发表在Laser & Photonics Reviews上(第一作者为博士生卢瑶,通讯作者为吴强、陈志刚和许京军教授),这一结果为纯相位太赫兹通信、太赫兹非线性混频以及高能短脉冲太赫兹光源中的相位调制提供了参考和借鉴。

图2 铌酸锂片上集成高灵敏太赫兹传感器与时域光谱仪示意图
在应用领域,吴强、许京军教授团队开发了多项技术。利用超表面/铌酸锂亚波长波导的复合结构,设计并制备了检测微量固体粉末的太赫兹片上传感器。复合结构通过表面波和能量局域,增强了光与物质的相互作用;通过水平入射方式,将光与物质的作用距离从微米提升至毫米;通过二维光谱,进一步提升了信号的分辨率;实现了片上集成的高灵敏太赫兹传感器。同时,该设计也可用于片上集成太赫兹时域光谱,将传统TDS光谱仪中几十厘米的光谱采集室(太赫兹产生、与物质相互作用、探测的空间)替换为几毫米的铌酸锂晶片,如图2所示(top articles in the Photonics and Optoelectronics section of Applied Physics Letters.)
基于渐变超表面结构,利用模式的非对称转化,实现了太赫兹波的非对称传输,这也是基于相位调制的片上集成THz类二极管的雏形(ACS Potonics 封面论文),如图3所示。同时,还制备了片上集成的太赫兹滤波器、法波微腔、耦合器等功能性的元器件。

图3太赫兹单向传输结构示意图
经过近十几年的努力,南开大学团队对太赫兹声子极化激元有了比较深入的认识,形成了比较系统的研究体系,取得了一些重要的研究成果。既有以非线性黄昆方程为代表的基础理论研究,也有铌酸锂材料的制备与调控、时空超分辨定量成像探测等实验工作,并在此基础上发展了片上集成高灵敏太赫兹传感器、片上集成太赫兹时域光谱仪等应用方向。

Copyright © 2022 中国科学技术协会 版权所有 | 京ICP备16016202号-20
Copyright © 2022 中国科学技术协会 版权所有 | 京ICP备16016202号-20