混沌数学理论从她笔下悄悄流出
发布时间: 2021-08-17
导语
“同画家和诗人的模式一样,数学家的模式必然是美的。与色彩和文字相同,思想也必然会以某种和谐的方式来组合。美是首要的试金石:丑陋的数学不可能永存。”
——戈弗雷·哈代
作者:陈关荣
写混沌(Chaos)数学理论的发展史,如果不提及 Mary Cartwright的话无论如何是不完整的,也是不公允的。
1. 渐露头角
女爵士玛丽 ·露西 ·卡特赖特(Dame Mary Lucy Cartwright,1900年12月17 日— 1998年4月3日)是为数不多的长寿数学家之一。

图1 玛丽 ·卡特赖特(1900-1998)
玛丽·卡特赖特出生于英格兰西部北安普敦郡 Aynho村的一个从事公益事业的传统家庭里。父亲William D. Cartwright曾是Aynho小学校长,母亲名叫Lucy H. M. Bury,玛丽在家排行第三,两个哥哥死于第一次世界大战战乱之中,留下她和妹妹 Jane以及小弟弟 William。
1917年,或许是由于她表姐Cecily Ady在牛津大学St. Hugh College教历史的缘故,玛丽考进了该学院。但是,在那里她却没有修读自己本来喜欢的历史专业,原因是嫌历史课程作业太多,而去学习数学。当年,连她在内整个牛津大学只有5名女生读数学。她被著名数学家戈弗雷·哈代(Godfrey H. Hardy,1877-1947)破例接纳到他一向只有男生的数学课程。在那里,玛丽被艰难却优雅的数学理论深深吸引。1923年,她从牛津大学毕业,是英国第一个获得“数学一等优秀生”(first class degree in mathematics)荣誉的女大学生。随后的四年时间里,她先后在Alice Ottley School和 Wycombe Abbey School 讲授数学,但她的兴趣仍然是探究更深奥的数学。
1928年1月,玛丽离开了教学职位,回到牛津加入哈代的数学研究小组继续深造。当年哈代给学生授课的方式有点特别:他通常是先讲一个小时的课,然后让大家聚在一起喝茶吃点心,继续讨论课程中的数学问题,偶尔也闲聊一些数学家轶事。在那里,玛丽期末考试名列第一。特别是,她在听完哈代几个关于Dirichlet级数的Abel求和讲座之后,出色地用围道积分方法完全解决了哈代留下的一个重要而又困难的问题,让哈代颇为惊讶。多年之后,哈代在其名著《发散级数》(Divergent Series,1948)中收录了玛丽的积分方法及其在Fourier级数中的应用。
1928-1929年间,哈代到美国普林斯顿大学作学术访问,临走时把玛丽推荐给继承自己Savilian 讲座教授位置的爱德华·蒂奇马什(Edward C. Titchmarsh,1899-1963)。蒂奇马什把玛丽的研究兴趣带进了复变函数分析领域,并配合哈代指导她的博士论文。1930年,玛丽作为牛津大学历史上第一个女数学博士毕业,论文题目是“特殊类型积分函数的零点”(“The Zeros of Integral Functions of Special Types”)。在博士学位答辩委员会里,一位重要的成员是哈代的长期合作者、剑桥大学Trinity College的数学教授约翰·李特尔伍德(John E. Littlewood,1885-1977)。当年,哈代和李特尔伍德两人在英国纯粹数学领域首屈一指,并在很大程度上改变了数学分析这门学科的发展方向和进程。他俩合作成果累累,其中比较广为人知的有哈代—李特尔伍德定理、哈代—李特尔伍德不等式、哈代—李特尔伍德极大函数、哈代—李特尔伍德圆方法,等等。哈代的小册子《一个数学家的辩白》(A Mathematician’s Apology,1941)中的一句话是众所周知的:“真正”的数学几乎是完全“无用”的。李特尔伍德的小册子《数学随笔集》(A Mathematician’s Miscellany,1953)中关于最短的数学博士论文可以只有两句话的说法也是众所周知的:一句重要定理的叙述加上一句简洁的证明。玛丽博士毕业后,李特尔伍德和她亦师亦友,成了长期数学研究合作伙伴。
1930年10月,玛丽获得了Yarrow 基金的资助,到剑桥大学格顿女子学院(Girton College)继续她的函数理论研究。在那里,她旁听了李特尔伍德的几门函数理论课程并参加他组织的数学讨论班。期间,玛丽利用拉斯·阿尔福斯(Lars V. Ahlfors,1907-1996)的保形映射理论解决了李特尔伍德公开的一个多复变函数的极大模精确上界估计问题,让李特尔伍德大为赞赏。那就是著名的“卡特赖特定理”,1935年发表在Mathematische Annalen 杂志,并被李特尔伍德收录进他的教科书《函数理论讲义》(Lectures on the Theory of Functions,1944)。该定理在今天信号过程(Signal Processing)的应用研究中依然被经常引用。
1931年,哈代从牛津到剑桥接受了Sadleirian讲座教授职位。1935年,玛丽留在剑桥格顿学院担任助理讲师。
开始,玛丽依然注重于纯数学研究。除了上面提到的Dirichlet 级数的Abel求和以及多复变函数的极大模理论之外,她那个时期的主要贡献在函数理论、积分函数的零点、解析函数在单位圆上的正则性、Borel 扩散等方面。
后来,玛丽最广为人知的应用数学成果是和李特尔伍德合作的关于荷兰物理学家范德波尔(Balthasar van del Pol,1889-1959)微分方程的研究,尤其是她关于非线性微分方程解的存在性和振荡行为的拓扑学分析方法,开启了对具体混沌物理模型的数学分析研究先河。
2. 混沌数学理论的曙光
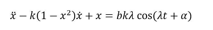
故事还得从1938年说起。英国政府于1916年建立的科学与工业研究总署统辖下的雷达研究委员会给伦敦数学会发去了一项研究提案,希望数学家们能够帮忙解决雷达工程研究中出现的非线性微分方程的求解和分析问题,以期“更全面地了解某些电气组合设备的真实行为”。当时玛丽关注到了其中的数学问题,但却不熟识其动力学背景。于是她去请教李特尔伍德,因为他在第一次世界大战中积累了许多关于对抗战机运动轨道分析的经验。她俩讨论了文件中提及由范德波尔在1920年提出的关于无线电波振动问题的微分方程:

其中 k, b, λ, α为参数。范德波尔于1927年9月在《Nature》杂志上发文报告了基于这个微分方程的霓虹灯实验,说当驱动信号具有某种自然频率时,会听到“毫无规律的噪声”。这篇文章很可能是观察到物理混沌现象最早的实验报告,只不过那时还没有混沌这个概念,更谈不上其数学理论。

图2 B. van der Pol and J. van der Mark, “Frequency demultiplication”, Nature, 1927
当年,玛丽和李特尔伍德通过数学分析发现,工程师们在雷达制造和测试中遇到的问题其实并非仪器设备的设计和工艺问题,而是微分方程本身的数学问题。她们发现这个貌似简单的非线性微分方程有着非常复杂的动力学特性,有些还异乎寻常的奇异。例如,她们发现这个方程有无穷多个不稳定的周期解和一个高度复杂的稳定非周期解的吸引域。她们严格证明了,当 b=0 时,随着 k→∞ ,这个方程的解趋向于唯一的一条周期轨道。后来,受美国数学家诺曼·莱文森(Norman Levinson,1912-1975)相关论文的影响,她们把拓扑学的思想和技巧引进了对一般二阶非自治非线性微分方程的研究,并发现非周期解有着非常脆弱的拓扑结构。她们的成果反过来又帮助解决了拓朴学中几个悬而未决的问题。
特别地,她们还注意到了方程初始条件和参数的不适当选取会导致方程解的不稳定性和不可预测行为,让对微分方程的分析和求解变得极其困难。这其实就是后来人们说的“蝴蝶效应”。她们留下了一个“卡特赖特—李特尔伍德猜想”:范德波尔方程在 b > 2/3 时有并且只有一个稳定的周期解。这个猜想后来在1972年由英国数学家诺埃尔·劳埃德(Noel G. Lloyd,1946-2019)证实。

图3 M. L. Cartwright, “Forced oscillations in nonlinear systems,” 1950.
接下来的十年间,玛丽自己以及和李特尔伍德合作发表了一系列的论文,给出了较为一般的二阶非线性微分方程的解的存在唯一性、最终有界性以及可能的周期解。他们采用了乔治·伯克霍夫(George D. Birkhoff,1884-1944)的解析变换方法,建立了“卡特赖特—李特尔伍德不动点定理”,发展了一套完整严格的微分系统张弛振荡数学理论。那个时段她俩讨论频繁,常常夜以继日。奇特的是,李特尔伍德喜欢用纸面书写而不是黑板演算的方式讨论数学问题,此外也喜欢在散步时作交谈讨论。李特尔伍德后来回忆说:玛丽很用功,“是我每天都要写给她两次[讨论稿]的唯一女性”。
1939-1945年第二次世界大战期间,玛丽热情地参与了国际红十字会英国支队的业余服务工作。
作为一个小插曲,1945年玛丽简化了查尔斯·厄密特(Charles Hermite,1822–1901)的初等方法证明了圆周率是无理数。该漂亮的证明后来被哈罗德·杰弗里斯(Sir Harold Jeffreys,1891-1989)收集在名著《科学推理》(Scientific Inference,1974)的附录中。
到了1960年代,玛丽开始研究周期驱动下一般二阶非自治非线性微分方程的“几乎周期解”(almost periodic solution),并采用昂利·庞加莱(Henri Poincaré,1854-1912)映射去研究几乎周期解极限点的最小集。她还把其中一些结果推广到高维空间中去。1964年,玛丽在《伦敦数学会会刊》上发表了著名论文“从非线性振荡到拓扑动力学”(“From non–linear oscillations to topological dynamics”)。
至此,说到“无穷多个不稳定的周期解”、“不可预测性”和“几乎周期解”,就离混沌的现代数学理论不远了。
受导师哈代的影响,玛丽的兴趣起源于纯数学,曾自认为是个纯数学家。但是,研究了范德波尔微分方程以后,她很感概地说:这是“一个奇特的、由不同学科和不同背景的人共同发展起来的数学分支——它涵盖了经典力学、无线电振荡、纯数学和自动控制理论的伺服机构”。许多年以后,在1990年代的一次访谈中她还说:“我保持这样的观点,就是在严格抽象推理和考虑现实思维之间的边界是不可能清晰定义的。”

图4 1932 世界数学家大会,苏黎世 (右一:玛丽)
3. 混沌数学理论的成型
玛丽是以“本性谦和”(characteristically modest)出名的一位谦虚严谨的数学家。理论物理学家弗里曼·戴森(Freeman John Dyson,1923-2020)1942年在剑桥大学读书时听过玛丽关于范德波尔微分方程研究的学术报告,大受鼓舞,认定那是极其漂亮的数学结果。后来,戴森评价说:李特尔伍德并不理解他和卡特赖特所做研究工作的深远意义,而“只有卡特赖特理解她的工作作为混沌理论基础的重要性。但她不是一个喜欢为自己吹喇叭的那种人。”(F. J. Dyson,“Mary Lucy Cartwright [1900-1998]:Chaos theory”,2010)。
事实上,玛丽对混沌数学理论的贡献一直都没有得到足够的关注,直到二十多年后美国数学家斯蒂芬·斯梅尔(Stephen Smale,1930-)发展了混沌数学中著名的“马蹄理论”(Horseshoe theory)时才得到印证。
斯梅尔是个很有故事的人,并且他的名声不仅限于数学。他说他最好的作品是“在里约(Rio)海滩上”完成的。1960 年,斯梅尔获得美国国家自然科学基金资助到巴西里约热内卢做博士后研究。斯梅尔后来回忆说,他到达里约后不久发表了一份手稿,猜想“混沌并不存在”。但是很快,他收到了资深数学家诺曼·莱文森的一封来信,给他举了个反例,并建议他去看卡特赖特-李特尔伍德的文章。斯梅尔在里约海滩上躺了很久,反复琢磨。“通过这些思考过程,我最终说服了我自己。现在我认为莱文森确实是对的,而我的猜想是错的。混沌已经隐含在卡特赖特和李特尔伍德的分析中。悖论解决了,是我猜错了。但是在这学习的过程中,我发现了马蹄!” 从此以后,数学界有了现代混沌理论的一块基石。这个过程也启发了斯梅尔在大于 4 的维度上解决了庞加莱猜想,让他在1966年荣膺菲尔兹奖(Fields Medal)。
说到法国数学家庞加莱,他被认为是“历史上最后一个数学通才”。1887年,瑞典国王奥斯卡二世(Oskar, II)悬赏,征求太阳系稳定性问题的解答,期望解决天体力学中的 N 体问题。庞加莱以他的三体问题研究成果获得了大奖。可是,论文被送到《Acta Mathematica》杂志付印时,青年数学编辑拉斯·符文(Lars E. Phragmén,1863-1937)在校对过程中发现有一个问题,便去咨询庞加莱。庞加莱明白了那是个基本错误。深思熟虑之后,庞加莱彻底地改变了原来采用的传统定量分析方法,以定性分析重新探讨了这个数学上极其艰深的问题。其中,庞加莱发现了非线性系统解的同宿轨道缠绕现象,后人知道那是混沌的最主要特征之一。庞加莱的论文修改好后在该杂志于1890年正式发表,从此推动了数学动力系统理论、特别是混沌理论的蓬勃发展。庞加莱在《科学与方法》(Science et Méthode,1908 )一书中回忆说,当时发现了“初始条件的微小误差在最后结果中产生极大差别的情况会发生…… 于是预测变得不可能,从而我们就看到了许多似乎是偶然的表面现象”。
独立于庞加莱,俄罗斯女数学家索菲娅·柯瓦列夫斯卡娅(Sonya Kovalevskaya,1850-1891)也指出过许多非线性微分方程是不可能求出精确解析解的,虽然她自己曾用超椭圆函数给出了三体问题中三个特别情形的解析解。柯瓦列夫斯卡娅是历史上第一个女数学博士,1874年在德国哥廷根毕业,是卡尔·魏尔斯特拉斯(Karl T. W. Weierstrass,1815-1897)的学生,1889年在瑞典Stockholm大学任聘成为世界上第一位女教授。十分可惜的是,她41岁时感染流感不治,不幸离世。
多年之后,在1954年世界数学家大会闭幕式报告里,苏联数学家安德烈·柯尔莫哥洛夫(Andrey N. Kolmogorov,1903–1987)不加证明地叙述了一个定理,试图解释浮点运算观察不到的混沌现象。后来,弗拉基米尔·阿诺德(Vladimir I. Arnold,1937-2010)和尤尔根·莫泽尔 (Jürgen K. Moser, 1928–1999)补充了全部的细节,共同建立了著名的Kolmogorov-Arnold-Moser(KAM)定理。该定理指出,微小扰动之下可积系统的环面只会变形而不会消失;但如果有环面受到破坏的话,它便会导致混沌。这一混沌产生过程类似于斯梅尔马蹄映射。后人还把KAM定理应用到太阳系统的稳定性分析。
自庞加莱以来,许多数学家似乎已经看到了混沌存在的幽灵,但始终没有人给出一个具体的微分方程例子。
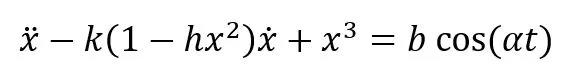
1963年,大气物理学家爱德华·洛伦茨(Edward N. Lorenz,1917-2008)出场了,给出了今天广为人知的三维一阶自治(二次多项式)微分方程系统,即著名的洛伦茨系统,并在数值计算中观察到了“混沌吸引子”(chaotic attractor)(参见往期文章《蝴蝶效应和混沌故事 | 陈关荣》)。当然,对比之后,人们很快就想到了范德波尔方程,它其实等价于一个三维一阶自治(非多项式)微分方程系统。洛伦茨在他《混沌的本质》(The Essence of Chaos,1995)一书中也提到了卡特赖特和李特尔伍德的数学分析对混沌理论发展的重要影响。后来知道,比洛伦茨略早的还有日本京都大学的电子工程学教授上田睆亮(Yoshisuke Ueda,1936– ),他在1961年尚是个研究生时就从实验室里观察记录了方程

当 k=0.2, h=8, b=0.35, α=1.02时的混沌吸引子,称为日本吸引子(Japanese attractor)。不过,后来他自己也知道,这个方程比杜芬(Georg Duffing,1861–1944)混沌方程还要复杂一些。

图5 洛伦茨混沌吸引子
前面说到的混沌系统都是时间连续微分方程。1975年,李天岩(Tien-Yien Li,1945-2020)和詹姆斯·约克(Jams A. Yorke,1941-)发表了一篇题为“周期三意味着混沌”的文章,讨论了洛伦茨的气象系统和罗伯特·梅(Robert M. May,1936-2020)的Logistic映射,证明了一条漂亮的数学定理,开启了离散混沌数学理论的先河(参见往期文章《离散混沌传奇丨陈关荣》)。后来,弗里曼·戴森在他2009年初由《美国数学会会刊》发表并在“爱因斯坦讲座”上演讲的著名文章“鸟与蛙”(Birds and Frogs)中说:“在混沌学的领域中,我知道的只有一条严格证明了的定理,那是由李天岩和詹姆斯·约克在1975年发表的一篇短文‘周期三意味着混沌’中所建立的。” 他将李–约克这篇论文誉为“数学文献中不朽的珍品之一”。

图6 可用Li-Yorke 定理证明的混沌Logistic映射。

4. 成名之后
1947年,玛丽被选为英国皇家学会院士,是皇家学会1660年成立以来的第一个女数学院士。她后来还是皇家学会理事会历史上的第一位女理事。
1949年初,她应邀到美国进行学术访问,先后到了斯坦福、UCLA和普林斯顿作非线性微分方程定性分析的系列演讲。
1949年从美国回到剑桥之后,玛丽取得了剑桥科学博士(ScD)学位并被选为格顿女子学院的院长(Mistress of Girton College)。她说那是“实际上不可推脱的选举”结果。
1950年,她出任英国数学会主席。
其后,她还兼任了多种学术和行政委员会职务,特别是重要而繁琐的剑桥女员工任职委员会主席、剑桥妇女联合会主席、剑桥教工委员会主席、以及两届剑桥大学参议会理事。她慢慢地把主要精力投入到了数学教育和学校行政事务中。她为人温文尔雅、办事公正严谨,深受师生们的爱戴。
尽管如此,玛丽在余生一直没有停止数学研究。她继续研究微分方程的新颖拓扑方法,并在函数理论以及簇集理论等方面时有新作。同时,她还写了一系列的文献综述和研究展望文章,其中特别著名的是关于1920-1930年间发展起来的“Hardy-Littlewood-Paley-Riesz circle”理论的历史回顾和评论,以及很有影响的科普书《数学思维》(“The Mathematical Mind”,1955)和专著《积分函数》(“Integral Functions”,1956)。
1956年,她作为英国皇家学会成员随代表团访问了苏联和波兰,到过莫斯科大学和波兰科学院并参加了学术会议。
玛丽于1959年晋升为剑桥大学函数理论教授(Reader),1961-1963年担任伦敦数学会主席,1968年退休。
其实玛丽退而不休,她不停歇地继续她的学术交流活动和数学研究。1970年代,她和剑桥数学家亨利·斯威纳顿-戴尔(Sir Henry P. F. Swinnerton-Dyer,1927-2018)维持了长达十年的合作,主要研究二阶微分方程的有界性。期间,她还参与了伦敦数学会委托的《哈代论文集》(The Collected Papers of G. H. Hardy,1974)的编辑工作。

图7 玛丽·卡特赖特(剑桥格顿学院)
玛丽先后获得Edinburgh、Leeds、Hull、Wales 和 Oxford 大学的荣誉博士学位,以及Finland大学的荣誉勋章。1964年,她作为第一位女性数学家获得了伦敦皇家学会最高荣誉的Sylvester 金质奖章。1968年,她被授予爱丁堡皇家学院荣誉院士,同年又作为第一位女性数学家获得了伦敦数学会最高荣誉的 de Morgan 金质奖章。1969年,她被女王伊丽莎白二世册封为英国皇家女爵士(Dame Commander of the British Empire)。
玛丽·卡特赖特一辈子单身,喜欢外出学术访问,极具幽默感和同情心,晚年自我陶醉于绘画和音乐。她于1998年4月3日在英国剑桥的 Midfield Lodge 养老院辞世,享年98岁。
为了纪念玛丽,伦敦数学会设立了年度“玛丽·卡特赖特讲座”(Mary Cartwright Lecture)系列,演讲人均由“女数学家委员会”(Women in Mathematics Committee)提名邀请。
玛丽一生有许多高深漂亮的数学成果,被写进了90多篇优雅流畅的学术论著中。她常常被问到:你有这么多好论文,自己最欣赏的是哪一篇呢?玛丽每次都不经思考地回复同一句话:“噢,是我手头上正在写的这一篇。”