多靶一体化治疗糖尿病及其并发症创新药物
广州药本君安医药科技股份有限公司
升级版无创产前胎儿染色体非整倍性分析试剂盒
广州万德基因医学科技有限公司
新型冠状病毒肺炎治疗药物—重组病毒趋化因子vMIP
广州溯原生物科技股份有限公司
大肠癌早期无创筛查技术
广州市康立明生物科技有限责任公司
医院智能配送机器人、智能消毒机器人、智能感控机器人、无人驾驶清扫车
广州赛特智能科技有限公司
抗肿瘤环五肽化合物及其制备方法
盛询科技集团
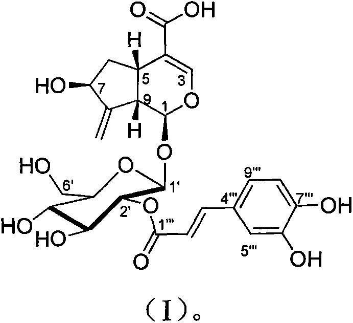
一种二萜醇苷类化合物、其制备方法及其应用
盛询科技集团
医用运动平板的溯源方法和自动检测装置的研究
杭州市质量技术监督检测院
危重症病人机械通气关键监测与控制技术及其应用
北京航空航天大学
细菌纤维素的可控制备及在日化和医药领域的应用
广东省科学院
膀胱癌的血清miRNA生物标志物及其表达量检测方法
南京医科大学
脊柱内镜手术模拟训练及创伤救治模拟系统
北京数医科技有限公司
天然产物氧化白藜芦醇的制备及在美容产品中的应用
中山大学药学院
检测诺氟沙星的方法
湖北大学
一种北沙参多糖及其制备方法和应用
盛询科技集团
蛹虫草多糖多维指纹图谱的构建方法及其标准指纹图谱
盛询科技集团
一种达格列净口腔膜剂及其制备方法
盛询科技集团
一种selexipag的制备方法
盛询科技集团
一种载银低分子量壳聚糖复合微球抗菌剂及其制备方法
盛询科技集团
一种从四氢呋喃途径合成药物普仑司特的方法
盛询科技集团
共1012页 转到