云计算环境下基于倒排LSH的高维近似图象检索方法
大连大学(助牛网代发布)
一种物联网数据采集和卫星多模传输控制终端系统
中国交通通信信息中心
移动环境下基于倒排位置敏感哈希索引的大规模图象查询系统
大连大学(助牛网代发布)
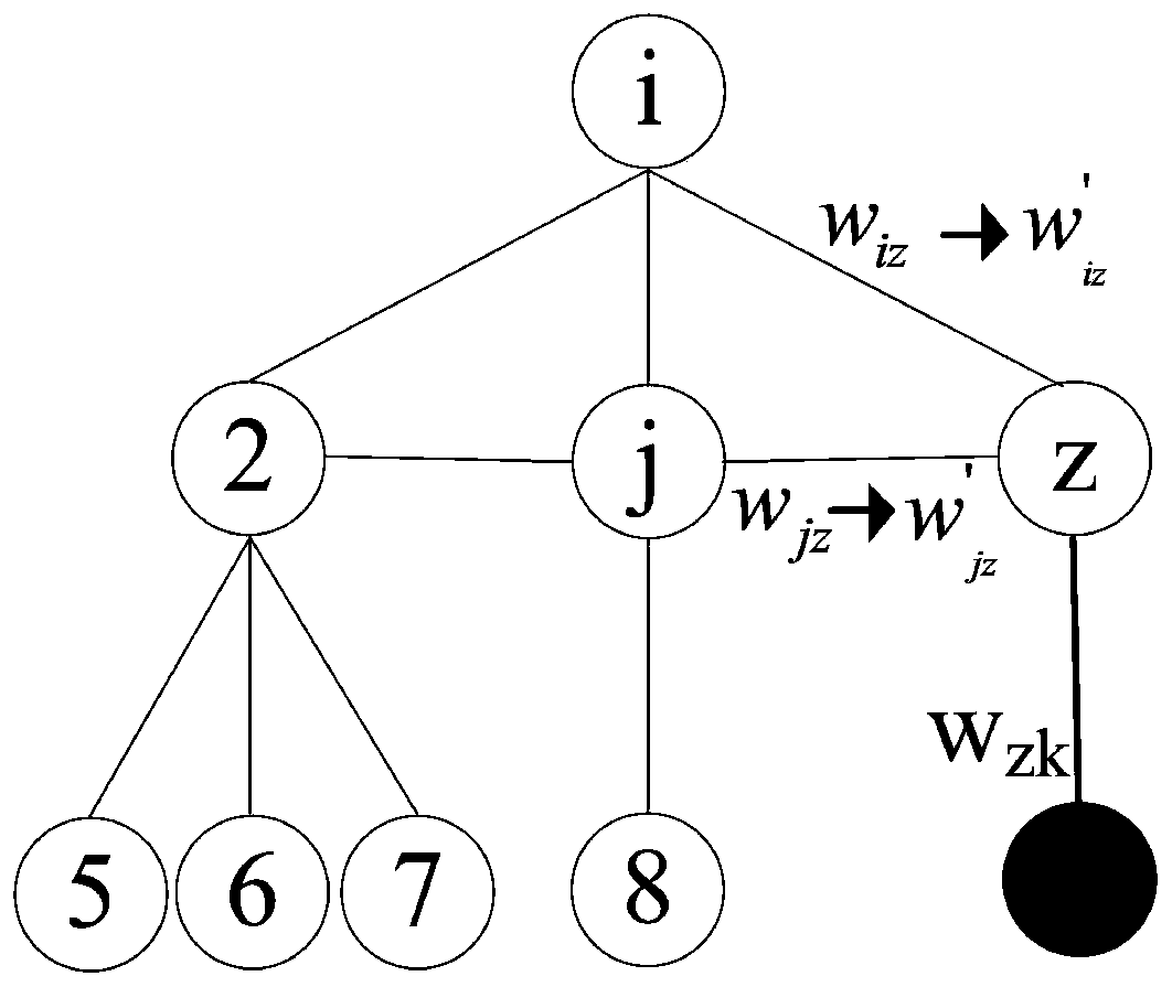
基于局域世界的加权指控网络演化模型构建方法
大连大学(助牛网代发布)
一种卫星路由判决方法及系统
中国交通通信信息中心
一种水域空间监测精细划分方法及系统
中国交通通信信息中心
一种面向船舶智能航行的多通信网络智能组网方法
中国交通通信信息中心
一种基于信号解码和概率筛选的单星定位增强系统及方法
中国交通通信信息中心
一种基于协同通信的数据传输机制
中国交通通信信息中心
一种基于深度学习的遥感图像水体提取方法及系统
中国交通通信信息中心
一种基于交通应急卫星的流量预警与控制方法
中国交通通信信息中心
一种船舶智能过闸辅助航行系统
中国交通通信信息中心
大范围海上目标识别关键技术研发及应用
中国交通通信信息中心
船舶交通管理系统绩效评估体系研究与应用
中国交通通信信息中心
基于海事卫星的安全应急通信支撑与保障系统
中交信息技术国家工程实验室有限公司
面向水上应急与海事监管的无人机系统关键技术
中国交通通信信息中心
无人机水上遇险搜救关键技术研究
中国交通通信信息中心
基于AIS位置预测的CPA计算方法
中国交通通信信息中心
一种基于密度的时序数据异常检测方法及装置
清华大学
一种基于密度的缺失数据填补方法及装置
清华大学
共356页 转到