一种新型可调控发光皮革
徐州众研美汇信息科技有限公司
一种利用太阳能加温的污水同步脱氮装置及方法
徐州众研美汇信息科技有限公司
一种微反应器中试放大生产香豆素中间体的方法
徐州众研美汇信息科技有限公司
一种加装热管换热器封闭热通道的数据中心复合冷却系统
徐州众研美汇信息科技有限公司
离子液体与尿素复合溶剂低温快速协同溶解再生胶原纤维的方法
徐州众研美汇信息科技有限公司
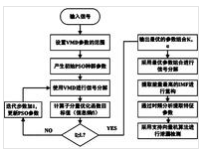
基于PSO-VMD算法的管道泄漏检测装置及检测方法
徐州众研美汇信息科技有限公司
一种裂殖弧菌及利用其生产DHA油脂的方法
徐州众研美汇信息科技有限公司
耐高温块状SiO2-Al2O3复合气凝胶隔热材料的制备方法
徐州众研美汇信息科技有限公司
一种利用微反应装置制备防老剂6PPD的方法
徐州众研美汇信息科技有限公司
蜂窝状钢腹板-钢管混凝土翼缘组合截面十字形柱
徐州众研美汇信息科技有限公司
改性碱性聚合物电解质薄膜及其制备方法
徐州众研美汇信息科技有限公司
一种以多孔衬底材料为支撑的梯度结构薄膜的制备方法
徐州众研美汇信息科技有限公司
一种排硫硫杆菌的细胞固定化方法
徐州众研美汇信息科技有限公司
一种人工湿地专用填料及其制备方法
徐州众研美汇信息科技有限公司
一种内置FRP局部约束混凝土组合构件
徐州众研美汇信息科技有限公司
一种预制空心楼板的抗弯加固结构及其施工方法
徐州众研美汇信息科技有限公司
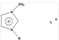
一种双核咪唑类聚离子液体材料及制备方法和应用
徐州众研美汇信息科技有限公司
α-(N-二取代基)氨基-ε-己内酰胺类化合物及其制备方法与应用
徐州众研美汇信息科技有限公司
一种真菌油脂提取方法
徐州众研美汇信息科技有限公司
三柱钢管塔
徐州众研美汇信息科技有限公司
共4040页 转到