一种基于GSM技术的智能航道警报标志设备
徐州众研美汇信息科技有限公司
一种用于低温环境的水系灭火剂
江苏中机矿山设备有限公司
一种集成无线温湿度控制装置的控制器及其系统
徐州众研美汇信息科技有限公司
一种自助咨询终端设备
中国矿业大学
一种通过飞秒激光改变因瓦合金表面润湿性的方法
江苏中机矿山设备有限公司
适用于电动汽车的可充电立体式停车位
徐州众研美汇信息科技有限公司
天大求实的“综合能源管理系统零能耗建筑解决方案”
天津市软件和信息技术服务业商会
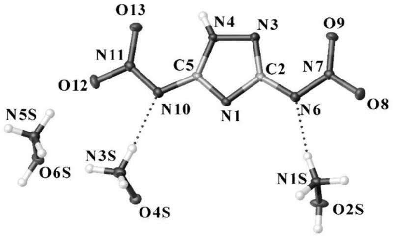
3,5-二硝氨基-1,2,4-三唑的羟胺盐与氧化氨自组装含能材料的制备方法
江苏中机矿山设备有限公司
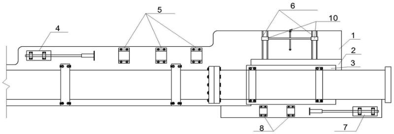
一种钢球淬火装置
中国矿业大学
一种模拟软土路堤反复浸水稳定性与变形的试验装置
徐州众研美汇信息科技有限公司
一种抛壳模拟试验连续供壳装置及其供弹方法
江苏中机矿山设备有限公司
树木种植装置
徐州众研美汇信息科技有限公司
一种利用海蟹共生烟曲霉制备抗癌活性化合物CHA的方法
徐州众研美汇信息科技有限公司
一种可测量持续推力的微推力测试装置
江苏中机矿山设备有限公司
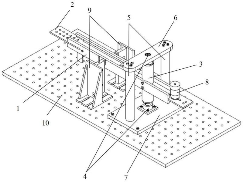
一种钢球夹持器
中国矿业大学
一种基于层错理论的复杂相结构转变的相场模型
江苏中机矿山设备有限公司
风机降噪结构及风力发电机
徐州众研美汇信息科技有限公司
矿山安全物联网光纤传感关键技术研究与应用
河北省科技成果展示交易中心
基于暗通道先验算法的水下机器人图像复原方法
江苏中机矿山设备有限公司
一种钢球输送装置
中国矿业大学
共16043页 转到