含有磺酰基结构三嗪酮衍生物及其制备方法和在杀虫、杀菌方面的应用
南开大学
一种基于实时水色监控的水质预警系统
江苏中机矿山设备有限公司
食品和饲料新型酶制剂生产菌种与技术
东北农业大学
含有双酰肼结构三嗪酮衍生物及其制备方法和在杀虫、杀菌方面的应用
南开大学
一种潮滩高程自动提取方法
江苏中机矿山设备有限公司
含有酰腙结构三嗪酮衍生物及其制备方法和在杀虫、杀菌方面的应用
南开大学
一种基于深度学习的图像关键信息提取系统
江苏中机矿山设备有限公司
一种PDE2抑制剂酰胺类衍生物及其制备方法
常州大学
Topsentin类生物碱在抗植物病毒和病菌中的应用
南开大学
低温黑木耳废弃菌糠腐熟菌剂及制肥技术
东北农业大学
一种岩土工程滑坡模型试验箱
江苏中机矿山设备有限公司
医院人事管理系统
江苏中机矿山设备有限公司
一种基于虚拟表的异构数据集成系统设计方法
江苏中机矿山设备有限公司
玉米营养全粉生产技术
齐齐哈尔大学食品与生物工程学院
含异噁唑啉和异噁唑结构的苯甲酰脲类化合物及制备和应用
南开大学
菲并吲哚里西啶和菲并喹喏里西啶衍生物及其盐在农药上的应用
南开大学
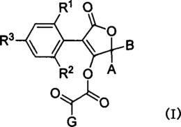
含草酰基取代的3-芳基季酮酸酯类化合物及其制备和应用
南开大学
一种全谷物油莎豆粉生产技术
齐齐哈尔大学食品与生物工程学院
一种基于时频特征和改进CNN的局部放电识别方法及装置
常州大学
棉酚的芳香胺席夫碱衍生物及其制备方法和抗植物病毒应用
南开大学
共16032页 转到