科创中国
问题分诊室
具身智能与智慧医疗融合创新产业
高性能装备制造产业
智能机器人全产业链产业
中医药产业
人工智能产业
新一代信息技术产业
作物产业
量子科技与先进制造产业
海洋装备产业
煤炭开采及煤化工产业
特殊钢产业
节能环保产业
低空经济产业
光电产业
汽车产业
新能源产业
新材料产业
“以竹代塑”
成果发布厅
新型电力系统
化学领域
现代纺织
低空经济
信息通信
智慧公路
煤炭开采及煤化工
中医药
智能机器人全产业链
海洋装备
新一代信息技术
量子科技与先进制造
人工智能
高性能装备制造
具身智能与智慧医疗融合创新
作物
科创地方
科创北京
科创天津
科创内蒙古
科创辽宁
科创江苏
科创广西
科创广东
科创重庆
科创宁夏
科创河北
科创山东
科创河南
科创福建
科创湖南
科创黑龙江
科创湖北
科创浙江
科创山西
科创资讯
科创头条
科协活动
通知公告
科技政策
技术经理人
科技服务团
资源中心
项目库
问题库
案例库
开源库
学术资源
会议展览
品牌栏目
院士开讲
解码新质生产力
金融服务云课堂
企创云课堂
有问题想咨询
有成果想转化
我的交易
我的会议
我报名的路演会议
我的资讯
我的消息
我的动态
我的需求
我的成果
我的
个人资料编辑
退出登录
登录/注册
科创中国
需求发布
成果发布
科创案例库
揭榜挂帅
技术经理人
会议展览
科创联合体
科技服务团
科创资讯
科技政策
院士开讲
学术资源
城市站点
协作站点
搜索
问题库
项目库
开源库
English
我的交易
我的会议
我报名的路演会议
我的资讯
我的消息
我的动态
我的需求
我的成果
我的
个人资料编辑
退出登录
登录/注册
组织入驻
隐藏工作区
全国
在线展厅
切换展厅
全国
北京市
天津市
河北省
山西省
内蒙古
辽宁省
吉林省
黑龙江省
上海市
江苏省
浙江省
安徽省
福建省
江西省
山东省
河南省
湖北省
湖南省
广东省
广西
海南省
重庆市
四川省
贵州省
云南省
西藏
陕西省
甘肃省
青海省
宁夏
新疆
新疆兵团
路演活动
科技成果
参观
人数
0
0
0
0
0
0
0
点赞
人数
0
0
0
0
0
0
0
技术领域
全部
新兴行业
|
新基建
|
电子信息
|
高端产业
|
生物医药
|
石化与新材料
|
智能机械与光机电一体化
|
节能环保
|
新能源
|
现代农业
|
高端技术服务业
|
农林牧副渔
|
城建规划
|
文化创意
|
矿山工程
|
冶金工程
|
企业管理
|
知识产权
|
智库咨询
|
旅游休闲娱乐
|
企业发展服务
|
电子商务
|
纺织
|
其他
|
更多
量子计算
北京创业投资协会
补肾活血方治疗腰椎管狭窄症PLIF术后残存腰腿痛的随机对照研究
中华中医药学会
数字教育
普华永道信息技术(上海)有限公司
SKYWORTH W82变形电视
创维集团有限公司
甲字提毒药捻治疗乳腺难愈性窦道的临床研究
中华中医药学会
剑麻农药喷洒装置
广西壮族自治区亚热带作物研究所
车联网及信息技术
大陆集团
参莪消癥方治疗不稳定性心绞痛(热毒血瘀证)的临床疗效评价及机制研究
中华中医药学会
电力用户行为分析软件
华北电力大学
“温通止痛膏”外敷治疗癌性疼痛(寒证)的随机双盲自身交叉对照研究
中华中医药学会
基于宗气理论的健脾益肺Ⅲ号对中重度慢阻肺急性加重的循证评价研究
中华中医药学会
锂电池3481性能模拟
北京航空航天大学
基于货车运行风险监测和驾驶行为分析的车辆风险预警与主动安全技术研究
中国公路学会
国审狗牙根新品种“保定狗牙根”
河北农业大学
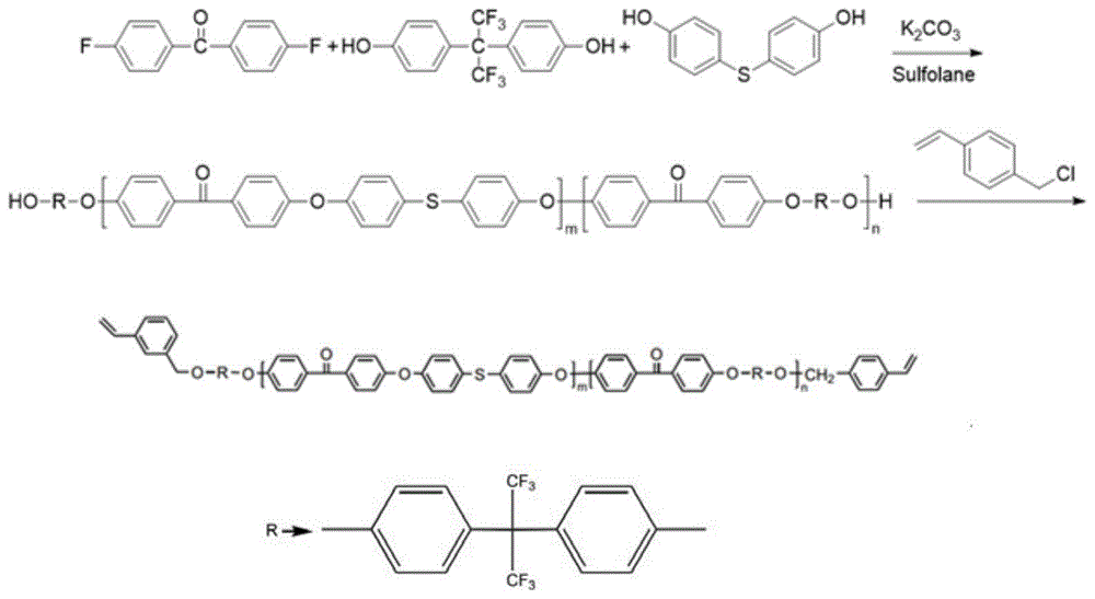
一种高温自交联含氟聚芳醚酮及制备方法和涂料及其制备方法
北京理工大学技术转移中心
瓜蒌丹参颗粒对稳定型心绞痛患者斑块稳定性的影响
中华中医药学会
合创Z03
合创汽车科技有限公司
干热岩人工裂隙网络监测与表征技术
重庆市菁英科技经济融合发展服务中心
小马智行
北京小马智行科技有限公司
可自主配置硬件资源的安全 PLC 构建关键技术研究
山东力明科技有限公司
首页
上一页
5479
5480
5481
5482
5483
5484
5485
下一页
尾页
共16030页 转到
页