科创中国
问题分诊室
具身智能与智慧医疗融合创新产业
高性能装备制造产业
智能机器人全产业链产业
中医药产业
人工智能产业
新一代信息技术产业
作物产业
量子科技与先进制造产业
海洋装备产业
煤炭开采及煤化工产业
特殊钢产业
节能环保产业
低空经济产业
光电产业
汽车产业
新能源产业
新材料产业
“以竹代塑”
成果发布厅
新型电力系统
化学领域
现代纺织
低空经济
信息通信
智慧公路
煤炭开采及煤化工
中医药
智能机器人全产业链
海洋装备
新一代信息技术
量子科技与先进制造
人工智能
高性能装备制造
具身智能与智慧医疗融合创新
作物
科创地方
科创北京
科创天津
科创内蒙古
科创辽宁
科创江苏
科创广西
科创广东
科创重庆
科创宁夏
科创河北
科创山东
科创河南
科创福建
科创湖南
科创黑龙江
科创湖北
科创浙江
科创山西
科创资讯
科创头条
科协活动
通知公告
科技政策
技术经理人
科技服务团
资源中心
项目库
问题库
案例库
开源库
学术资源
会议展览
品牌栏目
院士开讲
解码新质生产力
金融服务云课堂
企创云课堂
有问题想咨询
有成果想转化
我的交易
我的会议
我报名的路演会议
我的资讯
我的消息
我的动态
我的需求
我的成果
我的
个人资料编辑
退出登录
登录/注册
科创中国
需求发布
成果发布
科创案例库
揭榜挂帅
技术经理人
会议展览
科创联合体
科技服务团
科创资讯
科技政策
院士开讲
学术资源
城市站点
协作站点
搜索
问题库
项目库
开源库
English
我的交易
我的会议
我报名的路演会议
我的资讯
我的消息
我的动态
我的需求
我的成果
我的
个人资料编辑
退出登录
登录/注册
组织入驻
隐藏工作区
全国
在线展厅
切换展厅
全国
北京市
天津市
河北省
山西省
内蒙古
辽宁省
吉林省
黑龙江省
上海市
江苏省
浙江省
安徽省
福建省
江西省
山东省
河南省
湖北省
湖南省
广东省
广西
海南省
重庆市
四川省
贵州省
云南省
西藏
陕西省
甘肃省
青海省
宁夏
新疆
新疆兵团
路演活动
科技成果
参观
人数
0
0
0
0
0
0
0
点赞
人数
0
0
0
0
0
0
0
技术领域
全部
新兴行业
|
新基建
|
电子信息
|
高端产业
|
生物医药
|
石化与新材料
|
智能机械与光机电一体化
|
节能环保
|
新能源
|
现代农业
|
高端技术服务业
|
农林牧副渔
|
城建规划
|
文化创意
|
矿山工程
|
冶金工程
|
企业管理
|
知识产权
|
智库咨询
|
旅游休闲娱乐
|
企业发展服务
|
电子商务
|
纺织
|
其他
|
更多
移动式快捷预冷技术及设备
山东科技咨询协会
改善多天线系统性能的超表面及采用超表面的多天线系统
西安电子科技大学
新型农业光伏技术解决粮食、能源和水资源短缺挑战
湖北省对外科技交流中心
面向林业病虫害监测应用的高光谱激光雷达技术研究
山东农业大学
一种立式硬币分拣收集装置
河海大学常州校区
Fontan循环辅助泵
北京知识产权运营管理有限公司
一种基于碰撞分类检测的船舶安全预警方法
河海大学常州校区
图像地物要素分类模型的训练方法、图像分析方法及系统
中国科学院空天信息创新研究院
激光辐照效应及其应用
南京理工大学
可降解防霉抑菌保鲜材料
山东科技咨询协会
糊粉层增厚营养成分提高的紫米新品种中紫1号和4号
北京大学现代农学院
影像解决方案
易智瑞信息技术有限公司
食用菌贮运保鲜技术
山东科技咨询协会
改性米糠膳食纤维对淀粉老化抑制机理研究
武藏野化学(中国)有限公司
大蒜贮藏保鲜技术
山东科技咨询协会
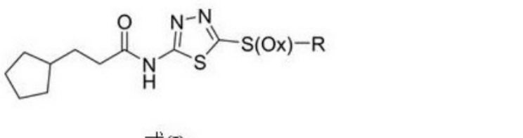
丙酰胺硫醚及砜类衍生物及其应用
贵州知富云科技有限公司
蒜薹贮藏保鲜实用技术
山东科技咨询协会
一种输送臂可伸缩的输送机
湖南省企业科协联合会
都市设施蔬菜提质增效新品种推广应用
中国农业科学院
USP22 靶向小分子抑制剂治疗肺癌、黑色素瘤的创新药物研发
北京知识产权运营管理有限公司
首页
上一页
5013
5014
5015
5016
5017
5018
5019
下一页
尾页
共16012页 转到
页