科创中国
问题分诊室
具身智能与智慧医疗融合创新产业
高性能装备制造产业
智能机器人全产业链产业
中医药产业
人工智能产业
新一代信息技术产业
作物产业
量子科技与先进制造产业
海洋装备产业
煤炭开采及煤化工产业
特殊钢产业
节能环保产业
低空经济产业
光电产业
汽车产业
新能源产业
新材料产业
“以竹代塑”
成果发布厅
新型电力系统
化学领域
现代纺织
低空经济
信息通信
智慧公路
煤炭开采及煤化工
中医药
智能机器人全产业链
海洋装备
新一代信息技术
量子科技与先进制造
人工智能
高性能装备制造
具身智能与智慧医疗融合创新
作物
科创地方
科创北京
科创天津
科创内蒙古
科创辽宁
科创江苏
科创广西
科创广东
科创重庆
科创宁夏
科创河北
科创山东
科创河南
科创福建
科创湖南
科创黑龙江
科创湖北
科创浙江
科创山西
科创资讯
科创头条
科协活动
通知公告
科技政策
技术经理人
科技服务团
资源中心
项目库
问题库
案例库
开源库
学术资源
会议展览
品牌栏目
院士开讲
解码新质生产力
金融服务云课堂
企创云课堂
有问题想咨询
有成果想转化
我的交易
我的会议
我报名的路演会议
我的资讯
我的消息
我的动态
我的需求
我的成果
我的
个人资料编辑
退出登录
登录/注册
科创中国
需求发布
成果发布
科创案例库
揭榜挂帅
技术经理人
会议展览
科创联合体
科技服务团
科创资讯
科技政策
院士开讲
学术资源
城市站点
协作站点
搜索
问题库
项目库
开源库
English
我的交易
我的会议
我报名的路演会议
我的资讯
我的消息
我的动态
我的需求
我的成果
我的
个人资料编辑
退出登录
登录/注册
组织入驻
隐藏工作区
全国
在线展厅
切换展厅
全国
北京市
天津市
河北省
山西省
内蒙古
辽宁省
吉林省
黑龙江省
上海市
江苏省
浙江省
安徽省
福建省
江西省
山东省
河南省
湖北省
湖南省
广东省
广西
海南省
重庆市
四川省
贵州省
云南省
西藏
陕西省
甘肃省
青海省
宁夏
新疆
新疆兵团
路演活动
科技成果
参观
人数
0
0
0
0
0
0
0
点赞
人数
0
0
0
0
0
0
0
技术领域
全部
新兴行业
|
新基建
|
电子信息
|
高端产业
|
生物医药
|
石化与新材料
|
智能机械与光机电一体化
|
节能环保
|
新能源
|
现代农业
|
高端技术服务业
|
农林牧副渔
|
城建规划
|
文化创意
|
矿山工程
|
冶金工程
|
企业管理
|
知识产权
|
智库咨询
|
旅游休闲娱乐
|
企业发展服务
|
电子商务
|
纺织
|
其他
|
更多
一类1-苯基-5-氨基-4-吡唑联噁二唑硫醚类化合物及其应用
贵州知富云科技有限公司
铝电解超强耐磨打壳锤头技术
中铝郑州有色金属研究院有限公司
“电力情报局”-5G赋能下的电网智能感知平台
国网数字科技控股有限公司
一种2,6-二溴苯甲磺酰氯的制备工艺
贵州知富云科技有限公司
一种增温保墒的退化草地补播方法
中国农业大学草业科学与技术学院
“碳”观止矣,能源引擎——基于调控大数据的源网荷储安全清洁高效运行体系
国网数字科技控股有限公司
一种声控集成供暖石墨烯卷轴画
中国煤炭学会
配网“千里眼”——基于多源数据融合的农村地区配网调度技术支持系统
国网数字科技控股有限公司
锌电集团工业控制系统安全解决方案
北京网御星云信息技术有限公司
黔北麻羊KISS1基因单核苷酸多态性的检测方法
贵州知富云科技有限公司
陶质文物彩绘层微米级裂缝显微动态监测装置与修复方法
陕西师范大学
新能源钛酸锂电池绿色先进制造装备与技术
中国机械工程学会
一种石墨烯智能远红外理疗服装
中国煤炭学会
一种鎏金层铜锈凝胶除锈剂
陕西师范大学
一种可实现温度精确控制的远红外石墨烯面料
中国煤炭学会
黑白照片显现加固剂
陕西师范大学
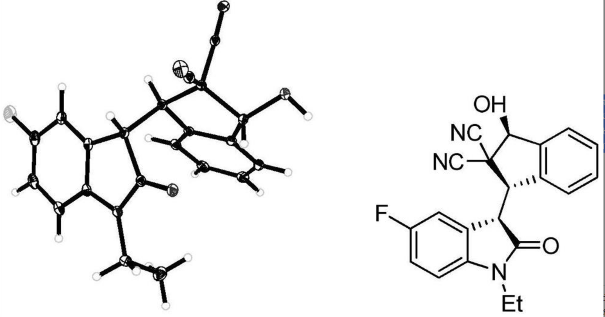
含1′-茚醇拼接3-氧化吲哚类化合物及其制备方法及应用
贵州知富云科技有限公司
轻量级用户可动态撤销及数据可动态更新的云审计方法
陕西师范大学
一种可调型石墨烯加热卷画画框
中国煤炭学会
YX538CED 换电式纯电动挖掘机
河南跃薪时代新能源科技有限公司
首页
上一页
4997
4998
4999
5000
5001
5002
5003
下一页
尾页
共16011页 转到
页