一种新型柔性剪应力与压力传感器结构和制作方法
西北工业大学
柔性手术机器人
北京共创未来医疗管理企业(有限合伙)
一种新型“三明治”结构柔性热膜微传感器及制作方法
西北工业大学
光伏电站生态评估与土地立体化利用技术
中国科学院青岛生物能源与过程研究所
一氧化碳吸附材料
中国制浆造纸研究院
电脑一体机热敏版纸基纸
中国制浆造纸研究院有限公司
玉米秸秆纤维绿色重载缓冲包装材料制造技术
东北林业大学
高性能机制书画纸
中国制浆造纸研究院有限公司
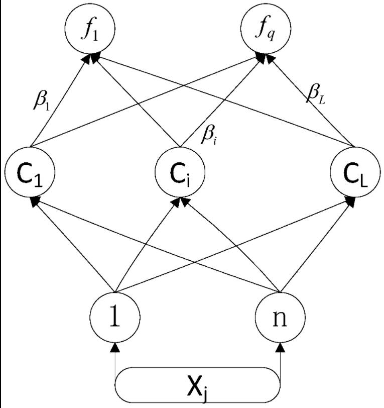
一种正则化RBF网络多标签分类方法
西安邮电大学
一种抑菌枕套的实用成果
杭州丝里伯睡眠科技有限公司
带有液体循环冷却系统的整体式LED聚光照明装置
长安大学
轴承腔回油温度影响因素研究及改善设计
中国航空学会
后视镜智能自动驱雨
安徽众诚信息技术有限公司
可定制网络设备操作系统
网络通信与安全紫金山实验室
一种陶瓷纤维多孔燃烧介质的制备方法
西北工业大学
一种3D打印高比表面积高效率催化剂-载体体系的方法
西北工业大学
玉米精细化青贮技术
中国农业大学
一种降低姬菇王畸形率的艾渣培养基及其栽培方法
贵州知富云科技有限公司
一种可精确量液的抗体储存管
西安医学院
视翼SYXR虚拟仿真工业元宇宙应用方案
秦皇岛视翼科技有限公司
共16011页 转到