科创中国
问题分诊室
具身智能与智慧医疗融合创新产业
高性能装备制造产业
智能机器人全产业链产业
中医药产业
人工智能产业
新一代信息技术产业
作物产业
量子科技与先进制造产业
海洋装备产业
煤炭开采及煤化工产业
特殊钢产业
节能环保产业
低空经济产业
光电产业
汽车产业
新能源产业
新材料产业
“以竹代塑”
成果发布厅
新型电力系统
化学领域
现代纺织
低空经济
信息通信
智慧公路
煤炭开采及煤化工
中医药
智能机器人全产业链
海洋装备
新一代信息技术
量子科技与先进制造
人工智能
高性能装备制造
具身智能与智慧医疗融合创新
作物
科创地方
科创北京
科创天津
科创内蒙古
科创辽宁
科创江苏
科创广西
科创广东
科创重庆
科创宁夏
科创河北
科创山东
科创河南
科创福建
科创湖南
科创黑龙江
科创湖北
科创浙江
科创山西
科创资讯
科创头条
科协活动
通知公告
科技政策
技术经理人
科技服务团
资源中心
项目库
问题库
案例库
开源库
学术资源
会议展览
品牌栏目
院士开讲
解码新质生产力
金融服务云课堂
企创云课堂
有问题想咨询
有成果想转化
我的交易
我的会议
我报名的路演会议
我的资讯
我的消息
我的动态
我的需求
我的成果
我的
个人资料编辑
退出登录
登录/注册
科创中国
需求发布
成果发布
科创案例库
揭榜挂帅
技术经理人
会议展览
科创联合体
科技服务团
科创资讯
科技政策
院士开讲
学术资源
城市站点
协作站点
搜索
问题库
项目库
开源库
English
我的交易
我的会议
我报名的路演会议
我的资讯
我的消息
我的动态
我的需求
我的成果
我的
个人资料编辑
退出登录
登录/注册
组织入驻
隐藏工作区
全国
在线展厅
切换展厅
全国
北京市
天津市
河北省
山西省
内蒙古
辽宁省
吉林省
黑龙江省
上海市
江苏省
浙江省
安徽省
福建省
江西省
山东省
河南省
湖北省
湖南省
广东省
广西
海南省
重庆市
四川省
贵州省
云南省
西藏
陕西省
甘肃省
青海省
宁夏
新疆
新疆兵团
路演活动
科技成果
参观
人数
0
0
0
0
0
0
0
点赞
人数
0
0
0
0
0
0
0
技术领域
全部
新兴行业
|
新基建
|
电子信息
|
高端产业
|
生物医药
|
石化与新材料
|
智能机械与光机电一体化
|
节能环保
|
新能源
|
现代农业
|
高端技术服务业
|
农林牧副渔
|
城建规划
|
文化创意
|
矿山工程
|
冶金工程
|
企业管理
|
知识产权
|
智库咨询
|
旅游休闲娱乐
|
企业发展服务
|
电子商务
|
纺织
|
其他
|
更多
一种适用于650℃及以下的耐热钢铸件材料
东方电气集团东方汽轮机有限公司
和田玉染色的快速鉴别方法
河北科技大学
一种苎麻牵伸针梳制条机
湖北天源纺织股份有限公司
高分子聚合物乳液膜作为水果生长保护膜的应用
河北科技大学
适用于摄像模组光学检测设备的真空吸附装置
湖北三赢兴光电科技股份有限公司
一种减小建筑陶瓷辊道窑横截面温差的方法
河北科技大学
冲天炉生产厚壁蠕铁件专用多元低稀土蠕化剂
河北科技大学
除草剂稀禾定的脲醛树脂微胶囊剂及其制备方法
河北科技大学
煤液化方法及其专用催化剂
新疆维吾尔自治区乌鲁木齐市胜利路14号化学化工学院
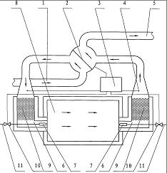
爆炸焊复合板恢复塑性的热处理方法及其设备
河北科技大学
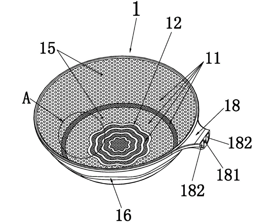
不粘锅表面营养喷粉及其制备方法
河北科技大学
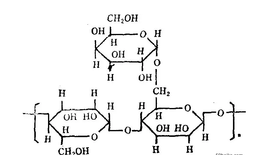
非离子阴离子瓜尔胶及其制备方法
河北科技大学
用于生产D型石墨铸铁的复合孕育剂及其制备方法
河北科技大学
石榴皮提取物及其生产方法和应用
新疆维吾尔自治区药物研究所
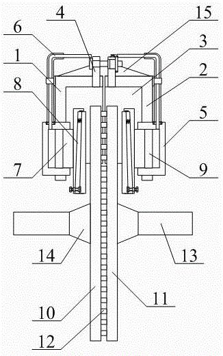
一种便于维护的工作钳间隙调整的简便装置
库尔勒永铭石油钻采设备有限公司
一种X射线条纹相机静态测试系统和动态测试系统
深圳博士创新技术转移有限公司
一种利用矿热炉熔融石棉尾矿生产镁硅钙肥料的方法
北京璞域环保科技有限公司
一种镜头固定结构
湖北三赢兴光电科技股份有限公司
转轮式油嘴套
库尔勒金沙石油机械制造有限责任公司
一种成像性能稳定的条纹相机及条纹相机系统
深圳博士创新技术转移有限公司
首页
上一页
4264
4265
4266
4267
4268
4269
4270
下一页
尾页
共16004页 转到
页