科创中国
问题分诊室
具身智能与智慧医疗融合创新产业
高性能装备制造产业
智能机器人全产业链产业
中医药产业
人工智能产业
新一代信息技术产业
作物产业
量子科技与先进制造产业
海洋装备产业
煤炭开采及煤化工产业
特殊钢产业
节能环保产业
低空经济产业
光电产业
汽车产业
新能源产业
新材料产业
“以竹代塑”
成果发布厅
新型电力系统
化学领域
现代纺织
低空经济
信息通信
智慧公路
煤炭开采及煤化工
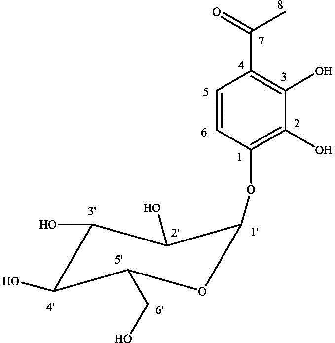
中医药
智能机器人全产业链
海洋装备
新一代信息技术
量子科技与先进制造
人工智能
高性能装备制造
具身智能与智慧医疗融合创新
作物
科创地方
科创北京
科创天津
科创内蒙古
科创辽宁
科创河北
科创湖南
科创宁夏
科创广东
科创江苏
科创广西
科创重庆
科创山东
科创河南
科创福建
科创黑龙江
科创湖北
科创浙江
科创山西
科创资讯
科创头条
科协活动
通知公告
科技政策
技术经理人
科技服务团
资源中心
项目库
问题库
案例库
开源库
会议展览
品牌栏目
院士开讲
解码新质生产力
金融服务云课堂
企创云课堂
有问题想咨询
有成果想转化
我的交易
我的会议
我报名的路演会议
我的资讯
我的消息
我的动态
我的需求
我的成果
我的
个人资料编辑
退出登录
登录/注册
科创中国
需求发布
成果发布
科创案例库
揭榜挂帅
技术经理人
会议展览
科创联合体
科技服务团
科创资讯
科技政策
院士开讲
学术资源
城市站点
协作站点
搜索
问题库
项目库
开源库
English
我的交易
我的会议
我报名的路演会议
我的资讯
我的消息
我的动态
我的需求
我的成果
我的
个人资料编辑
退出登录
登录/注册
组织入驻
隐藏工作区
全国
在线展厅
切换展厅
全国
北京市
天津市
河北省
山西省
内蒙古
辽宁省
吉林省
黑龙江省
上海市
江苏省
浙江省
安徽省
福建省
江西省
山东省
河南省
湖北省
湖南省
广东省
广西
海南省
重庆市
四川省
贵州省
云南省
西藏
陕西省
甘肃省
青海省
宁夏
新疆
新疆兵团
路演活动
科技成果
参观
人数
0
0
0
0
0
0
0
点赞
人数
0
0
0
0
0
0
0
技术领域
全部
新兴行业
|
新基建
|
电子信息
|
高端产业
|
生物医药
|
石化与新材料
|
智能机械与光机电一体化
|
节能环保
|
新能源
|
现代农业
|
高端技术服务业
|
农林牧副渔
|
城建规划
|
文化创意
|
矿山工程
|
冶金工程
|
企业管理
|
知识产权
|
智库咨询
|
旅游休闲娱乐
|
企业发展服务
|
电子商务
|
纺织
|
其他
|
更多
200x200 OLED喷墨打印成套装备
佛山季华知识产权运营有限公司
铆钉及沿轴向同步均匀干涉的铆接结构铆钉及沿轴向同步均匀干涉的铆接结构铆钉及沿轴向同步均匀干涉的铆接结
宁波市软件行业协会
一次性使用鼻氧管与一次性吸引导管连接过滤装置
南华大学附属第二医院
4K大尺寸超高清直显LED电视
佛山季华知识产权运营有限公司
增强CT用留置针敷贴
南华大学附属第二医院
长时效静态远洋船舶防污涂料的开发
宁波市软件行业协会
HMS-1高温抗盐油井水泥降失水剂
宁波市科技创新协会
AM-LED 拼接显示样机
佛山季华知识产权运营有限公司
一种心脏外科用多管路固定夹具
南华大学附属第二医院
宽禁带半导体SiC高温外延生长装备
佛山季华知识产权运营有限公司
一种用于肿瘤药物研究的加药器
南华大学附属第二医院
微加工及沉积掺杂
佛山季华知识产权运营有限公司
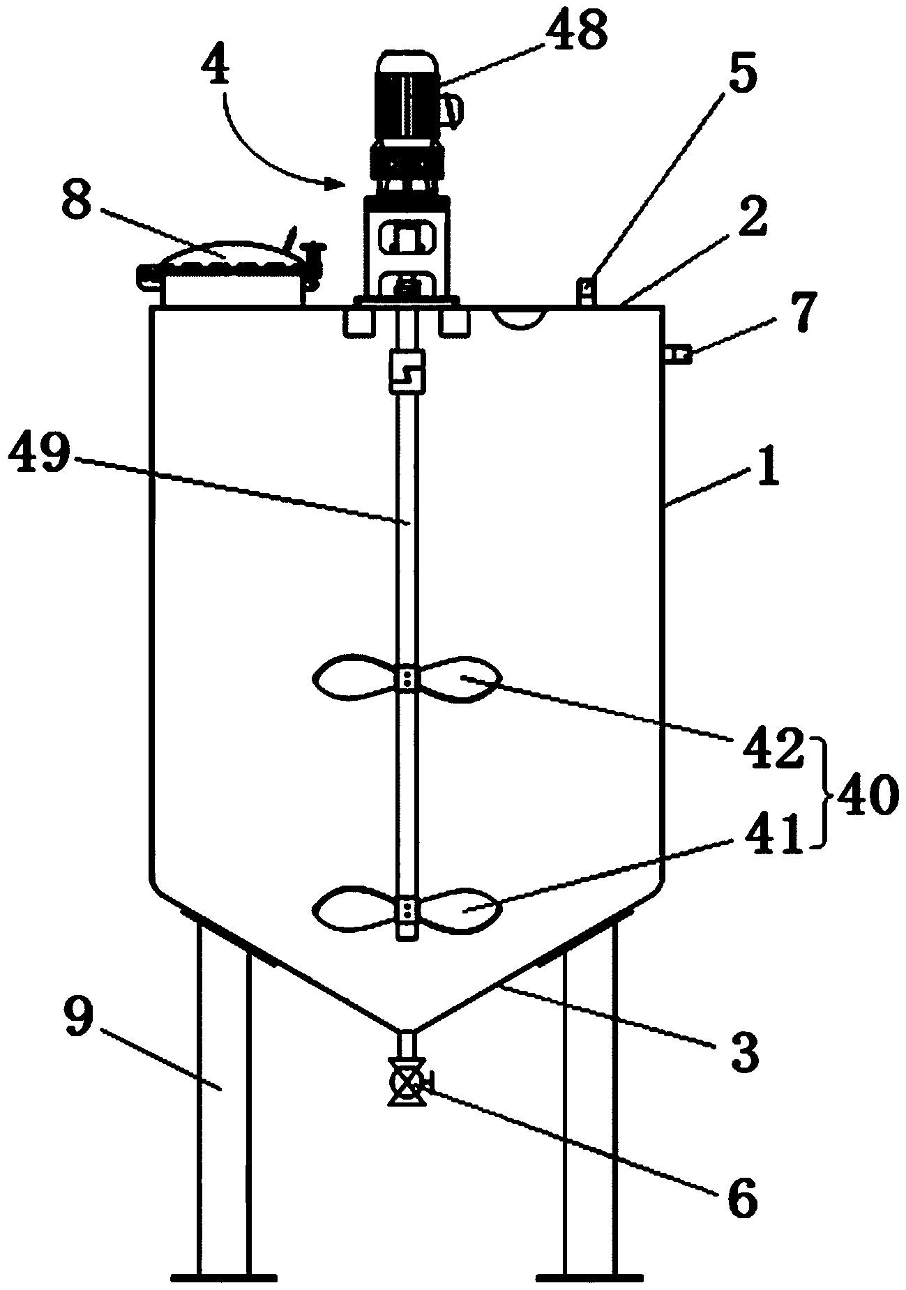
一种基于中药提取的固液分离装置
南华大学附属第二医院
高均匀高性能性金刚石
佛山季华知识产权运营有限公司
聚合物轻量化与高性能化的若干关键技术及其应用
宁波大学
全闭环高速高精度智能电主轴
佛山季华知识产权运营有限公司
一种留置针以及血氧探头的防脱落装置
南华大学附属第二医院
一种快速检测食品中亚硝酸盐的复合电极芯片及制备方法
天津市食品安全检测技术研究院
先进工业自动化装备用高精度磁编码器
佛山季华知识产权运营有限公司
一种颈项部脂肪垫术后加压塑形衣
南华大学附属第二医院
首页
上一页
4078
4079
4080
4081
4082
4083
4084
下一页
尾页
共16046页 转到
页