一种桥门式起重机设备参数采集管理系统
汉正检测技术有限公司
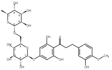
一种车前子水提物在制备雌激素药物中的应用
宁波市科技创新协会
一种安全吊卡监测系统
汉正检测技术有限公司
一种试验装置
汉正检测技术有限公司
何首乌或制何首乌的混悬液、提取物在制备治疗抑郁症药物中的应用
宁波市科技创新协会
精神分裂症患者相关药物代谢酶基因多态性的分布特征分析
科学技术部火炬高技术产业开发中心技术市场与成果转化处
一种齿轮中心距可分性验证仪
常州大学
一种钻机井架状态在线检测系统及方法
汉正检测技术有限公司
HTK-H型便携式线路检查仪
科学技术部火炬高技术产业开发中心技术市场与成果转化处
城市公共交通智能管理服务解决方案
长安大学
一种弯曲装置
汉正检测技术有限公司
一种磁粉检测装置
汉正检测技术有限公司
一种基于磁珠分离的抗血栓药物筛选方法
宁波益加科创服务有限公司
东北北部玉米化肥农药减施增效技术集成与示范
科学技术部火炬高技术产业开发中心技术市场与成果转化处
具有防治糖尿病并发抑郁症的中药及其应用
宁波市科技创新协会
一种具有抗肿瘤活性和抗炎活性的醌式查尔酮与黄酮醇结合物及其制备方法和应用
宁波益加科创服务有限公司
一种可调双波长分布反馈式半导体激光器装置
常州大学
复方山楂叶总黄酮滴丸及其制备方法
宁波市科技创新协会
实景模型+BIM在公路设计中的适用性研究
科学技术部火炬高技术产业开发中心技术市场与成果转化处
一种治疗感冒后咳嗽的甘桑桔颗粒
宁波市科技创新协会
共15998页 转到